Тема 11. ОПРЕДЕЛЕНИЕ ПАРАМЕТРОВ ЧЕТЫРЕХПОЛЮСНИКОВ
(задачи с решением)
Перейти к задачам без решения
|
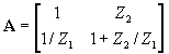
Задача 11.1. Определить А-параметры четырехполюсника (см. п. 12.1 теоретического материала), схема которого представлена на рис. П11.1.
Рис. П11.1. |
При холостом ходе на выходе четырехполюсника
, и из общей системы уравнений четырехполюсника через А-параметры
![]()
найдем
. Из анализа схемы непосредственно следует, что в этом режиме
, откуда А11 = 1, а
, т.е. А21 = 1/Z1.
Аналогично, при коротком замыкании на выходе четырехполюсника
, и из системы имеем
. Теперь анализ схемы дает
, следовательно, А12 = Z2, а А22 = 1+ Z2/Z1.
Запишем результат в матричной форме
.
Нетрудно убедиться, что найденные параметры удовлетворяют соотношению А11А22 - А12А21 = 1, справедливому для обратимых четырехполюсников.
При работе в режиме изучения теоретического материала вернитесь назад к тексту Лекции 12.
|
Задача 11.2. Определить Z-параметры составного четырехполюсника (рис. П11.2, а), рассматривая их как последовательное, параллельное или каскадное соединение простейших одноэлементных четырехполюсников. |
Перекрытый Т-образный четырехполюсник (рис. П11.2, а) может быть представлен в виде последовательного соединения П-образного четырехполюсника Z ' (Z1, Z3, Z1) и одноэлементного — Z2 (рис. П11.2, б).
a)
б)
Рис. П11.2
Четырехполюсник Z ' — это каскадное соединение одноэлементных четырехполюсников — параллельного Z1, последовательного Z3 и параллельного Z1. A-матрицы этих четырехполюсников можно получить из результата предыдущей задачи, полагая в нем Z2 = 0 для параллельного четырехполюсника и Z1 = ∞ для последовательного и соответственно изменяя обозначения. Перемножение A-матриц дает:

Поскольку далее будет рассматриваться последовательное соединение, перейдем к Z-параметрам. Для этого воспользуемся связями между различными системами параметров, приведенными в Приложении 1.
Имеем:

Z-параметры одноэлементного четырехполюсника Z2, описываемого матрицей (см. п. 12.3, рис.12.5, a)
,
можно получить тем же путем перехода от его А-параметров к Z-параметрам.
Z-параметры последовательно соединенных четырехполюсников суммируются Z = Z'+ Z". Поэтому окончательно получим для Z-параметров перекрытого Т-образного четырехполюсника:

При работе в режиме изучения теоретического материала вернитесь назад к тексту Лекции 12.
|
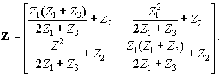
Задача 11.3. Определить характеристические параметры четырехполюсника, рассмотренного в задаче 11.1, принимая в качестве элементов схемы Z1 = 1/jωC, Z2 = jωL. |
|
Задача 11.4. Рассчитать коэффициенты передачи по напряжению и току однородной цепной
LC-схемы, рассмотренной в Примере п.12.9, состоящей из четырех звеньев, при соотношении между ее параметрами
|
При
для характеристических параметров одного звена имеем (см. п. 12.9):

Поэтому в режиме согласования — при нагрузке цепной схемы на резистор с сопротивлением
ее каждое звено дает фазовый сдвиг напряжения и тока на
π/2, а их действующие значения остаются неизменными, поскольку коэффициент затухания α = 0. Четыре звена схемы дают фазовый сдвиг на 2π, т.е. в режиме согласования входные и выходные токи и напряжения четырехзвенной схемы равны друг другу.
Для определения связей между токами и напряжениями при холостом ходе и коротком замыкании определим А-параметры схемы А11 и А22. Поскольку четырехполюсник симметричный, то оба эти параметра равны друг другу и выражаются как А11 = А22 = ch(4g) = ch(4j π/2) = cos(2π) = 1. Поскольку эти параметры выражают отношение входного и выходного напряжений при холостом ходе и токов при коротком замыкании, то и эти отношения будут равны единице — при холостом ходе входное и выходное напряжения четырехзвенной схемы равны друг другу, также как и токи при коротком замыкании.