12.7. ХАРАКТЕРИСТИЧЕСКИЕ ПАРАМЕТРЫ ОБРАТИМЫХ ЧЕТЫРЕХПОЛЮСНИКОВ
Введенные Z-, Y-, Н- и A-параметры четырехполюсника выражают соотношения между его входными и выходными токами и напряжениями независимо от режима нагрузки — значений сопротивлений Zг и Zн, включенных в его входной и выходной цепях (см. рис. 12.10). Часто каскадно соединенные элементы находятся в режиме согласованного включения, при котором выходное сопротивление каждого звена равно входному сопротивлению последующего. Так, четырехполюсник, изображенный на рис. 12.10, работает в режиме согласования на выходе, если его выходное сопротивление Zвых равно сопротивлению нагрузки Zн. Режим согласования будет обеспечен и на входе четырехполюсника, если его входное сопротивление Zвх равно выходному сопротивлению генератора Zг. Каскадно соединенные четырехполюсники (рис. 12.11) включены согласованно, если для каждой их пары выполняются условия: Z(k – 1) вых = Zk вх; Zг = Z1вх; Zn вых = Zн.

Рис. 12.11
Рассчитать значения токов и напряжений в цепочке согласованно включенных четырехполюсников можно более простыми средствами, чем с помощью перемножения матриц их A-параметров.
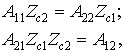
Режим согласования на обеих парах зажимов четырехполюсника обеспечивается при вполне определенных значениях сопротивлений Zг и Zн, включенных в его входной и выходной цепях (см. рис. 12.10) и называемых характеристическими сопротивлениями четырехполюсника на входе и выходе (Zc1 и Zc2). Выразим их через A-параметры четырехполюсника. Согласование на входе имеет место при Zг = Zc1 = Zвх, а на выходе — при Zвых = Zн = Zc2. Используя выражения для входного и выходного сопротивлений нагруженного четырехполюсника (см. п. 12.6), запишем эти условия в виде:

Приведем полученные соотношения к системе:
![]()
При вычитании и суммировании уравнений получим:

откуда Zc1/Zc2 = A11/A22 и Zc1Zc2 = A12/A21. Далее находим значения характеристических сопротивлений:

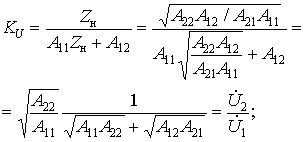
Полученные два параметра не дают полного описания обратимого четырехполюсника. Как мы установили ранее (см. п. 12.3), такой четырехполюсник характеризуется тремя независимыми параметрами. Для определения третьего из них рассмотрим коэффициенты передачи четырехполюсника по напряжению и току в режиме согласования. Преобразуем выражения для KU и KI с учетом того, что Zн = Zc2. Имеем


Здесь и далее положительное направление выходного тока
принято в соответствии с рис. 12.11.
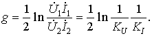
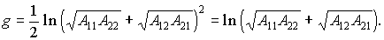
Третий характеристический параметр четырехполюсника — мера передачи g, связывает токи и напряжения на входе и выходе при условии согласования. Он определяется из соотношения

Используя выражения для KU и KI, получим
![]()
Выразим A-параметры четырехполюсника через
Zc1, Zc2 и g. Из последнего выражения имеем
. Обратная величина равна
=
. Здесь использована связь
A11A22 – A21A12 = 1, справедливая для обратимого четырехполюсника.
Полусумма (eg + e – g)/2 = ch g =
, а (eg – e – g)/2 = sh g =
. Связи
Zc1/Zc2 = A11/A22 и
Zc1Zc2 = A12/A21 позволяют выразить
A-параметры:

Запишем уравнения четырехполюсника с помощью характеристических параметров:

и коэффициенты передачи по напряжению и току в режиме характеристического согласования четырехполюсника:

Характеристические параметры позволяют также выразить его входные сопротивления
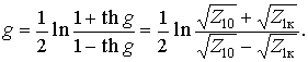
Z10 и Z1к в режимах холостого хода и короткого замыкания на выходе. В первом случае
= 0 и из системы уравнений получим
Z10 =
= Zc1/th g; при коротком замыкании
= 0 и Z1к =
= Zc1 th g. Из полученных связей имеем:
Zc1 =
; th
g =
. Меру передачи
g выразим из последнего соотношения, используя тождество

Характеристическое сопротивление Zc2 определяется аналогично Zc1 через выходные сопротивления Z20 и Z2к в режимах холостого хода и короткого замыкания на входе четырехполюсника:
![]()