12.6. ВХОДНЫЕ И ПЕРЕДАТОЧНЫЕ ФУНКЦИИ НАГРУЖЕННЫХ ЧЕТЫРЕХПОЛЮСНИКОВ
Рассмотрим связи между токами и напряжениями на входе и выходе четырехполюсника, питаемого от источника ЭДС
с внутренним сопротивлением
Zг, к выходным зажимам которого подключено сопротивление нагрузки
Zн. При принятых направлениях выходных напряжения и тока (рис. 12.10, а) записывается в виде
или
.

Рис. 12.10
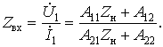
Подставляя первое соотношение в A-уравнения четырехполюсника, выразим из них входное сопротивление нагруженного четырехполюсника как отношение входного напряжения к входному току

Для определения выходного сопротивления рассмотрим аналогичный режим, в котором источник ЭДС
включен в выходную цепь, а входные зажимы четырехполюсника замкнуты на сопротивление
Zг (рис. 12.10, б). При этом, очевидно,
. Использование этого выражения и
A-уравнений четырехполюсника приводит к цепочке равенств
![]()
из которой найдем
![]()
Отсюда выходное сопротивление четырехполюсника выражается как отношение

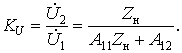
Определим также соотношения для коэффициентов передачи по напряжению KU и току KI при питании четырехполюсника со стороны входа (см. рис. 12.10, а). Подставив соотношение между выходными величинами в A-уравнения четырехполюсника, получим из первого уравнения
![]()
откуда

Аналогично из второго уравнения четырехполюсника найдем коэффициент передачи по току
