12.9. КАСКАДНОЕ СОЕДИНЕНИЕ СОГЛАСОВАННЫХ ЧЕТЫРЕХПОЛЮСНИКОВ
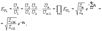
Характеристические параметры легко позволяют вычислять коэффициенты передачи по напряжению и току цепочки каскадно соединенных согласованных четырехполюсников (см. рис. 12.11), когда выполняются условия:
Zc2(k) = Zc1(k+1); Zг = Zc11; Zc2n = Zн.
Поскольку коэффициенты передачи по напряжению каждого из четырехполюсников равны
=
, то при перемножении их коэффициентов передачи имеем

Аналогичный вид имеет и коэффициент передачи по току
![]()
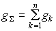
Таким образом, при каскадном соединении мера передачи отдельных четырехполюсников суммируется:
.
При каскадном соединении симметричных четырехполюсников полученные выражения упрощаются, так как у каждого из них Zc2 = Zc1:
![]()
Для каскада из n одинаковых симметричных звеньев с мерой передачи каждого gk = g, имеем
![]()
A-параметры такого каскада равны: A11 = A22 = ch ng; A12 = Zc sh ng, A21 = (1/Zc) sh ng. Использование последних формул позволяет рассчитать токи и напряжения на входе и выходе каскада также и при отсутствии согласования на оконечных зажимах каскада. При этом сначала определяют характеристические параметры Zc и g одного звена, затем по последним формулам находят A-параметры всего каскада, после чего используют уравнения в A-форме, позволяющие рассчитать режим при произвольных значениях Zг и Zн.
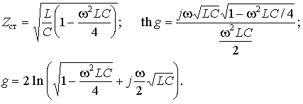
Пример. Рассмотрим однородную цепную LC-схему (рис. 12.13, а), которую можно представить как каскадное соединение n симметричных Т-образных звеньев (рис. 12.13, б).

Рис. 12.13
Характеристические параметры одного звена найдем, используя соотношения для Т-звена, полученные выше (п. 12.8). При Z0 = jwL/2 и Z2 = 1/jwC имеем:

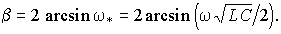
В зависимости от соотношения между параметрами цепи и частотой рассматриваемая цепь обладает различными свойствами. При w2LC/4 < 1 характеристическое сопротивление звена Zcт вещественно, а g представляет чисто мнимую величину, так как модуль выражения под знаком логарифма равен единице. Поэтому в режиме характеристического согласования затухание сигнала в цепи отсутствует (a = 0), напряжения и токи в звеньях схемы, нагруженной на характеристическое сопротивление, изменяются лишь по фазе, а их амплитуды (действующие значения) сохраняются неизменными. Обозначая безразмерный параметр wЦLC/2 = w*, перепишем соотношение для меры передачи в этой области
![]()
Используя соотношение для мнимой части логарифма комплексного числа, найдем из последней связи:

Принимая w* = sin t, получим
![]()
поэтому окончательно для коэффициента фазы звена b будем иметь
![]()
Для каскадного соединения n одинаковых звеньев имеем соответственно коэффициент фазы
nb = 2n arcsin
. Поэтому
A-параметры каскада из n звеньев равны

При w2LC/4 > 1, характеристическое сопротивление цепной схемы является, наоборот, чисто мнимым, а g имеет ненулевую вещественную часть — a ¹ 0. Поскольку g при этом имеет постоянную мнимую часть b = p, то фазовые сдвиги между напряжениями или токами на выходе отдельных каскадов в режиме согласования в этой области частот кратны p.
Пример расчета параметров каскадно соединенных согласованных четырехполюсников рассмотрен в Задаче 11.4.