12.1. УРАВНЕНИЯ И ПАРАМЕТРЫ ЧЕТЫРЕХПОЛЮСНИКОВ
Многие электрические цепи, осуществляющие передачу сигналов от одного объекта к другому, имеют две пары зажимов, с помощью которых они соединяются с внешними объектами. Такие электрические цепи называют четырехполюсниками. К ним относятся усилители, трансформаторы, передающие линии, электрические фильтры и др.
Теория четырехполюсников устанавливает общие связи между их входными и выходными токами и напряжениями (рис. 12.1, а). При работе четырехполюсника предполагается равенство токов обоих входных зажимов 1, 1' и пары выходных зажимов 2, 2'.

Рис. 12.1
При питании четырехполюсника, составленного из линейных элементов, со стороны входных зажимов от источника синусоидального тока
при разомкнутых выходных зажимах (рис. 12.1, б) напряжения на входе и выходе синусоидальны и пропорциональны току
İ1:
![]()
где Z11, Z21 — входное и передаточное сопротивления четырехполюсника в рассматриваемом режиме.
Аналогичные соотношения будем иметь при питании четырехполюсника со стороны выходных зажимов и холостом ходе на входе (рис. 12.1, в):
![]()
Применяя принцип наложения, получим связи между входными и выходными величинами для общего случая — уравнения четырехполюсника через Z-параметры (см. рис. 12.1, а):
| (12.1) |
Рассматривая режимы питания от источников ЭДС, создающих напряжения
и
, при коротком замыкании на
противоположной стороне (рис. 12.1, г, д), получим следующие соотношения для значений токов в обоих частных режимах:

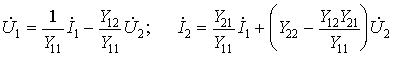
Для общего случая запишем уравнения четырехполюсника в Y-форме
|
| (12.2) |
В матричной форме полученные соотношения имеют вид:

или
![]()
Для данного четырехполюсника обе системы уравнений эквивалентны. Так как из первого матричного уравнения следует
, то матрицы
Z- и Y-параметров четырехполюсника обратны друг другу, т. е.
Y = Z-1. Используя правило нахождения элементов обратной матрицы, запишем полученное равенство в развернутой форме

где DZ = Z11Z22 – Z12Z21 — определитель матрицы Z. Справедливы и обратные соотношения, выражающие элементы матрицы Z через Y-параметры.
Связи между токами и напряжениями четырехполюсника можно записать и в другой форме. Так, для описания биполярных транзисторов широко используют гибридную систему уравнений, в которой входное напряжение и выходной ток выражаются через две другие величины:
|
| (12.3) |
Преобразование системы уравнений (12.2) через Y-параметры к виду

позволяет установить связи между Y- и H-параметрами:
![]()
где DY = Y11Y22 – Y12Y21.
При рассмотрении четырехполюсника как звена цепи передачи сигналов используют еще одну форму уравнений через A-параметры:
![]()
или в матричной форме:

A-параметры можно выразить, например, через
Z-параметры данного четырехполюсника. Для этого найдем значение
İ1 из второго Z-уравнения (12.1):
. Подставляя его в первое
Z-уравнение системы (12.1), получим
. Отсюда находим:
A11 = Z11/Z21; A12 = DZ/Z21; A21 = 1/Z21; A22 = Z22/Z21.
Соотношения, выражающие любую систему параметров четырехполюсника через другие системы, приведены в Приложении 1.
Параметры Z, Y, H и A характеризуют связи между входными и выходными токами и напряжениям четырехполюсника. Они определяются его схемой и не зависят от внешних цепей, к которым подключен четырехполюсник. Для нахождения того или иного параметра надо рассмотреть частный режим работы, в котором проявляется один данный параметр. Параметры четырехполюсника являются комплексными величинами. Их модули выражают отношения действующих значений токов и напряжений в соответствующем частном режиме, а аргументы — фазовые сдвиги между этими величинами.
Параметры Z, Y и H с индексами 11 называются входными сопротивлениями или проводимостями, с индексами 22 — выходными величинами. Они определяются в режиме холостого хода или короткого замыкания на противоположной стороне четырехполюсника в зависимости от того, какая пара переменных выступает в правой части данной системы. Так, H11 — входное сопротивление в режиме короткого замыкания, а Z11 — входное сопротивление при холостом ходе на выходе. Выходная проводимость H22 определяется при холостом ходе, а Y22 — при коротком замыкании на входе. Параметры с индексами 21 называются передаточными от входа к выходу. Безразмерный параметр Н21 определяет усиление тока четырехполюсником в режиме короткого замыкания на выходе. Параметры с индексами 12 характеризуют передачу сигналов с выхода на вход. A-параметры с одинаковыми индексами 11 и 22 безразмерные. Они определяются отношением напряжений на входе и выходе в режиме холостого хода и токов в режиме короткого замыкания. Параметр A12 имеет размерность сопротивления, A21 — проводимости.