12.2. ЭКВИВАЛЕНТНЫЕ СХЕМЫ ЧЕТЫРЕХПОЛЮСНИКОВ
Эквивалентные схемы можно построить на основе уравнений четырехполюсника, записанных в Z-, Y- и H-формах. Поскольку четырехполюсник в общем случае описывается четырьмя независимыми параметрами, то каждая такая схема будет содержать четыре элемента. Так как Z-уравнения выражают напряжения на зажимах как сумму двух слагаемых, пропорциональных токам, то в схеме замещения имеем последовательное соединение сопротивлений и управляемых источников ЭДС (рис. 12.2, а).

Рис. 12.2
Аналогично Y-уравнения приводят к схеме рис. 12.2, б, реализующей принцип суммирования токов в параллельных ветвях, содержащих проводимости и управляемые источники тока. Подобным же образом строится схема замещения (рис. 12.2, в), отвечающая гибридным уравнениям.
На рис. 12.2, а-в изображены двухгенераторные эквивалентные схемы, каждая из них содержит два управляемых источника. На рис. 12.3, а, б показаны одногенераторные схемы, включающие лишь по одному управляемому источнику.

Рис. 12.3
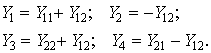
Для входного и выходного напряжений Т-образной схемы рис. 12.3, а имеем:
![]()
Сопоставляя эти уравнения с Z-уравнениями четырехполюсника (12.1), получим условия их эквивалентности:
Z1 + Z2 = Z11; Z2 = Z12;
Z4 + Z2 = Z21; Z3 + Z2 = Z22,
из которых найдем выражения для параметров Т-образной схемы через Z-параметры четырехполюсника:
Z1 = Z11 – Z12; Z2 = Z12;
Z3 = Z22 – Z12; Z4 = Z21 – Z12.
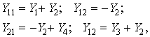
Аналогично параметры одногенераторной П-образной схемы (рис. 12.3, б) можно выразить через Y-параметры. Ее входной и выходной токи равны
;
.
Эквивалентность этих уравнений Y-уравнениям четырехполюсника (12.2) обеспечивается при:

откуда получаем выражения для параметров П-образной схемы (рис. 12.3, б) через Y-параметры четырехполюсника:
