Тема 8. ЧАСТОТНЫЕ СВОЙСТВА ЦЕПЕЙ СИНУСОИДАЛЬНОГО ТОКА
(задачи с решением)
Перейти к задачам без решения
|
Задача 8.1. Для цепи (рис. П8.1, а) с числовыми данными Z1 = – j2, Z2 = j2, Z3 = – j2, Z4 = 2, Z5 = j2 (в Омах), рассчитать и построить логарифмические амплитудную и фазную частотные характеристики (см. п. 8.2 теоретического материала) коэффициента передачи по напряжению KU(jw) =
Рис. П8.1а |
Передаточная функция
, где
— относительная частота, может быть найдена с помощью законов Кирхгофа, методов контурных токов, узловых напряжений в комплексной форме (см. п. 7.5 теоретического материала) или других методов расчета цепей синусоидального тока. Ее общее выражение
имеет модуль, частотная зависимость которого
представляет амплитудно-частотную характеристику (АЧХ); ее аргумент
выражает фазочастотную характеристику (ФЧХ);
— логарифмическую амплитудную характеристику (ЛАХ).
В рассматриваемой задаче передаточную функцию
найдем с помощью метода узловых напряжений. При указанной на рис. П8.1,
а нумерации узлов
.
Для определения
составим систему узловых уравнений:

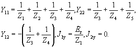
где

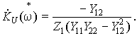
Разрешая узловые уравнения относительно напряжения
, найдем:

Для получения частотной зависимости коэффициента передачи в последнее выражение следует подставить комплексные сопротивления элементов цепи, выраженных в виде явной функции w: для катушки ZL = jwL для конденсатора ZC =
1/ jwC. Выразим эти сопротивления через относительную частоту
:

Учитывая заданные значения сопротивлений катушки и конденсатора на базисной частоте w0L и 1/w0С, запишем комплексные сопротивления ветвей цепи как функции относительной частоты
:
.
Подстановка этих значений в выражения для узловых проводимостей дает:

Их подстановка в выражение для
приводит к результату:

Обратите внимание, что вещественная и мнимая части числителя и знаменателя представляют собой четный и нечетный полиномы
с чередующимися знаками коэффициентов по убывающим степеням
. Правильность выражения
легко контролируется при
= 0 и
= ¥. Соответствующие значения можно получить путем непосредственного анализа цепи на этих частотах. При
= 0 катушки обладают нулевым сопротивлением, а сопротивление конденсаторов бесконечно велико. Закорачивая катушки и размыкая конденсаторы исходной цепи, приходим к резистивной цепи, изображенной на рис. П8.2,
а, для которой
= 0. Подставляя
= 0 в выражение
, получим также
= 0. Для
= ¥, наоборот, размыкание катушек, обладающих бесконечным сопротивлением, и закорачивание конденсаторов приводит к резистивной цепи, показанной на рис. П8.2,
б.

Рис. П8.2
Для нее
= 1, и тот же результат получим, подставляя
= ¥
в выражение
.
Результаты расчета частотных характеристик сведены в Таблицу.
Таблица
|
|
— |
0,001 |
0,01 |
0,1 |
0,2 |
0,5 |
1 |
2 |
5 |
10 |
100 |
1000 |
|
|
дек |
– 3 |
– 2 |
–1 |
– 0,3 |
– 0,7 |
0 |
0,3 |
0,7 |
1 |
2 |
3 |
|
|
— |
10–9 |
10–6 |
10–3 |
0,008 |
0,15 |
1 |
2,79 |
1,13 |
1,03 |
1 |
1 |
|
|
дБ |
– 180 |
– 120 |
– 60 |
– 41,5 |
16,5 |
0 |
8,92 |
1,1 |
0,26 |
0 |
0 |
|
|
град |
270 |
269 |
264 |
257 |
226 |
180 |
12 |
0,5 |
0,06 |
0 |
0 |
Для расширения частотного диапазона частота по оси абсцисс откладывается в логарифмическом масштабе. В соответствии с данными Таблицы ЛАХ и ФЧХ изображены на рис. П8.3.

Рис. П8.3
Полоса пропускания определяется диапазоном частот, в котором отличие
от максимального значения не превышают 3 дБ. Из рис. П8.3 найдем
= 0,15,
= 0,65. Интервал
и есть полоса пропускания рассматриваемой цепи.
При работе в режиме изучения теоретического материала вернитесь назад к тексту Лекции 8.