8.2. ЛОГАРИФМИЧЕСКИЕ ЧАСТОТНЫЕ ХАРАКТЕРИСТИКИ
Описанные выше частотные характеристики часто изображают не в линейном (см. рис. 8.4), а в логарифмическом масштабе, когда по оси абсцисс откладывают не саму частоту, а ее десятичный логарифм. На оси ординат логарифмических частотных характеристиках принято откладывать значение 20 lg K. Эта величина оценивается в децибелах. При этом значению модуля K = 10 отвечает значение рассматриваемой функции в 20 дБ. Приведем несколько часто встречающихся на практике соотношений:
| K . . . . . . . . | 10 | 100 | 1000 | 10n | 2 | Ц2 | 1,12 |
| 20 lg K, дБ | 20 | 40 | 60 | 20n | »6 | »3 | » 1 |
Положительные значения 20 lg K отвечают усилению сигнала данной цепью, отрицательные — его ослаблению. Фазовый сдвиг q на фазочастотных характеристиках откладывают в линейном масштабе.
Логарифмический масштаб изображения частотных характеристик позволяет отразить более широкий диапазон значений частоты. Хотя при этом на характеристике отсутствует значение, отвечающее нулевой частоте, определение ее асимптотики при w ® 0 не вызывает затруднений. Еще одним преимуществом логарифмического масштаба по оси ординат является то, что при анализе цепей, состоящих из каскадно соединенных звеньев, перемножению модулей передаточных функций отдельных каскадов отвечает суммирование логарифмов модулей — более наглядная и простая при графических построениях операция. И наконец, зависимости 20 lg K = f(lg w) имеют более простой асимптотический характер, чем зависимости K(w). Последнее связано с тем, что поскольку передаточная функция любой цепи выражается рациональной дробью, ее асимптотами при w ® 0 и w ® ¥ являются степенные функции wn. Так как при переходе к логарифмам такая функция переходит в линейную, то асимптоты логарифмических амплитудных характеристик при w ® 0 и w ® ¥ являются прямыми. Так, для цепи рис. 8.3 при w ® 0 асимптотика K(w) имеет квадратичный характер K(w) ~ w2LC, чему отвечает начальная часть графика (см. рис. 8.4, а), имеющая вид параболы. При переходе к логарифмам имеем 20 lg K = 20 lg w2LC = 40 lg w + 20 lg LC. Отсюда следует, что при изменении частоты в десять раз (такое изменение называется декадой) изменение ординаты на логарифмической амплитудной характеристике (ЛАЧХ) составит 40 дБ. Таким образом, начальная часть ЛАЧХ представляет собой прямую с наклоном 40 дБ/дек. При w ® ¥ K ® 1, и асимптотическая ЛАЧХ имеет нулевой наклон.

Рис. 8.6.
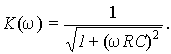
Передаточная функция по напряжению RC-цепи (рис. 8.6, а) равна

Отсюда нетрудно найти модуль

После перехода к логарифмическим единицам получим
![]()
При w ® 0 ЛАЧХ (рис. 8.6, б) имеет горизонтальную асимптоту, а при w ® ¥, когда 20 lg K » – 20 lg (wRC) асимптота имеет отрицательный наклон 20 дБ/дек. Следует обратить внимание на то, что в рассматриваемом случае замена всей ЛАЧХ ее асимптотическими ветвями приводит к относительно небольшой погрешности. Нетрудно убедиться, что зависимость K(w), построенная в линейном масштабе, будет иметь более сложный вид.
Таким образом, использование логарифмического масштаба при построении амплитудно-частотных характеристик требует меньшего объема вычислений, так как их асимптотические ветви имеют более простой вид, чем асимптоты характеристик, построенных в линейном масштабе.
Пример построения логарифмических частотных характеристик для более сложной цепи рассмотрен в Задаче 8.1.