13.3. ЧАСТОТНЫЕ СВОЙСТВА LC-ФИЛЬТРА НИЖНИХ ЧАСТОТ
Одна из простейших схем пассивного
фильтра нижних частот, содержащая две
индуктивности и емкость, приведена на рис.
13.7. Предположим, что нагрузкой фильтра нижних частот, представляющего
симметричный четырехполюсник с параметрами Z1 = Z3 =
; Z2 =
,
является его характеристическое сопротивление
Zн = Zc.
Рис. 13.7
Характеристические параметры такого четырехполюсника, определенные в п. 12.9, выражаются соотношениями:

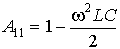
или в безразмерной форме, с введением безразмерной частоты ЦLC/2 = w*:

Из последнего соотношения, используя формулу п. 12.9, найдем
![]()
Из этого выражения видно, что при w* < 1 или при w < wc < 2/ЦLC мера передачи является чисто мнимой величиной. Это неравенство определяет полосу пропускания фильтра, в которой затухание a = 0.
Характеристическое сопротивление, вещественное в полосе пропускания, уменьшается от значения Zc0 = ЦL/C при w = 0 до нуля на частоте среза wc. Это не позволяет обеспечить настройку фильтра в режим согласования во всей полосе пропускания: при нагрузке на постоянное сопротивление условие согласования можно выполнить лишь для одной фиксированной частоты.
В полосе задерживания характеристическое сопротивление имеет индуктивный характер. При этом схема рис. 13.7 состоит из одних реактивных элементов, и фазовый сдвиг между входным и выходным напряжениями равен 180°.
В полосе пропускания коэффициент фазы b = 2 arcsin w* и, следовательно, условие линейности фазочастотной характеристики фильтра не выполняется даже при согласованной нагрузке.
В полосе задерживания мера передачи имеет вещественную часть
.
Частотные зависимости a, b и Zc изображены на рис. 13.8.


Рис. 13.8
Асимптотическое выражение для коэффициента затухания при w ® ¥ имеет вид a = 2 ln 2w, или в децибелах 20 ´ 2 lg 2w = 20 lg 4 + 40 lg w асимптота логарифмической АЧХ фильтра имеет наклон 40 дБ/дек. Для практических применений такой характер роста затухания зачастую является слишком медленным. Более резкое возрастание коэффициента затухания в полосе задерживания получим при каскадном включении нескольких Т-образных звеньев. Трехзвенный фильтр (рис. 13.9) имеет асимптотический наклон ЛАХ в области высоких частот (3 ´ 40 = 120 дБ/дек). Однако и у него сохраняется невозможность согласования с резистивной нагрузкой в полосе пропускания.

Рис. 13.9
При постоянстве нагрузочного сопротивления фильтра
Zн = R0 = const условие a = 0 в полосе пропускания не может быть соблюдено. Покажем это на примере
однозвенного фильтра с параметрами Z1 = Z3 = jwL/2; Z2 = 1/jwC, нагруженного на сопротивление
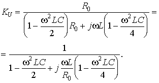
Zн = R0. Воспользуемся выражением коэффициента передачи нагруженного четырехполюсника (см. п. 12.6) KU =
= Zн/(A11Zн + A12).
Используя связи между A- и Z-параметрами (Приложение 1) и соотношения для параметров Т-образной схемы (п. 12.2), получим
Поэтому
;
=
=
=
.
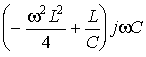
Это дает для коэффициента передачи четырехполюсника, нагруженного на сопротивление R0:

Приведем это выражение к безразмерным переменным, вновь принимая w* = wЦLC:

где r = ЦL/C /R0.
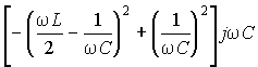
Квадрат модуля знаменателя последнего выражения равен
![]()
Отсюда видно, что при любом постоянном значении r (или R0) условие постоянства модуля коэффициента передачи фильтра в полосе пропускания обеспечить не удается.

Рис. 13.10
Это иллюстрируется графиком рис.13.10 для r = 1 (или R0 = ЦL/C), когда выражение модуля коэффициента передачи имеет вид

Таким образом, при формулировке реалистичных требований к частотным характеристикам фильтров (нагруженных на постоянное сопротивление, не зависящее от частоты) необходимо допустить изменения модуля коэффициента передачи фильтра в полосе пропускания (ПП) (wс1 < w < wc2), не превышающие некоторого значения DK (рис. 13.11, а), задаваемого в качестве исходного при расчете фильтра, и плавный переход к полосе задерживания (ПЗ) (w < wз1, w > wз2), где значения коэффициента передачи не должны превышать некоторого заданного значения Kmax.
a)
б)
Рис. 13.11
Обычно эти характеристики задаются в децибелах допустимая неравномерность коэффициента передачи в полосе пропускания характеризуется максимальным значением ослабления сигнала в полосе пропускания. Поскольку a = 20 lg U1/U2 = – 20 lg KU, то Da = – 20 lg (1 – DK). Аналогично, ослабление выходного сигнала в полосе задерживания не должно быть ниже amin = – 20 lg Kmax (рис. 13.11, б).