Ослабление
В технике связи используют понятия рабочего, вносимого и собственного ослаблений.
1. Рабочее ослабление и его измерение
Рабочее ослабление является мерой передачи энергии через четырехполюсник в реальных условиях. Эта мера зависит не только от параметров четырехполюсника, но и от параметров источника сигнала (генератора), являющегося нагрузкой со стороны входных зажимов, и сопротивления нагрузки, подключенной к выходным зажимам четырехполюсника (см. рис.1).
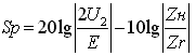
Рабочее ослабление а
р (рабочее усилие Sр) четырехполюсника определяют соотношением:

где: Р
1 - полная мощность, которую мог бы отдать генератор в нагрузку при условии, что сопротивление нагрузки равно внутреннему сопротивлению генератора Zr (т.е. согласованную с ним нагрузку) (см. схему на рис.2).

Рис. I. Схема измерения абсолютного уровня напряжения рu2 при измерении рабочего ослабления методом известного генератора.
1 - входные зажимы четырехполюсника;
2 - выходные зажимы четырехполюсника.

Рис. 2. Схема определения мощности Р1 в формуле для рабочего ослабления.
Р
2 - полная мощность, поступающая от генератора в нагрузку включенную на выходе четырехполюсника (рис. I).
Таким образом, в рабочем ослаблении фактическая мощность (Р
2), поступающая в нагрузку Zн четырехполюсника, сравнивается в логарифмическом масштабе с мощностью Р
1, отдаваемой генератором в оптимальном режиме (в согласованную нагрузку).
Мощности Р
1 и Р
2 могут быть выражены через э д с генератора Е и напряжение U
2 на нагрузке Zн, включенной на выходе четырехполюсника (рис. I):

Подставив эти выражения в .1., получим:

где: Zн - сопротивление нагрузки четырехполюсника;
Zr - внутреннее сопротивление генератора.
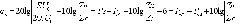
Для рабочего усиления выражение будет иметь вид

Из этих выражений следует, что процесс измерения рабочего ослабления и усиления при известных значениях Zн и Zr сводится к измерению размеров э д с генератора Е и напряжения U
2 на нагрузке, включенной на выходе четырехполюсника.
Этот способ измерения принято называть методом известного генератора.
Измерение размера напряжения на нагрузке (рис. I) производится электронным вольтметром (ЭВ) с высокоомным сопротивлением, проградуированным обычно в относительных логарифмических единицах измерения - децибелах (измерителем уровня).
В этом случае выражение для а
р можно преобразовать, перейдя от абсолютных значений напряжения и э д с к уровням напряжения и э д с

где:
рe - абсолютный уровень э д с генератора;
рu2 - абсолютный уровень напряжения на нагрузке четырехполюсника;
рe/2 - абсолютный уровень Е/2, равный абсолютному уровню напряжения на выходе согласованно нагруженного генератора;
Uo - напряжение, соответствующее нулевому уровню мощности при данном градуировочном сопротивлении.
Уровень э д с
рe с достаточной степенью точности можно определить, измерив напряжение на выходе генератора на холостом ходе с помощью указателя уровня с высокоомным входным сопротивлением.
Если выходное сопротивление Zr измерительного генератора, имеющегося в распоряжении экспериментатора, не равно требуемому значению нагрузки со стороны входных зажимов исследуемого объекта или известно с недостаточной точностью, метод известного генератора применять нельзя. В этом случае используют метод Z.
Методом Z- можно осуществлять измерения при помощи генератора с любым, в том числе и неизвестным, внутренним сопротивлением (рис. 3).
В этом методе роль нагрузки со стороны входных зажимов выполняет сопротивление Zr, а напряжение U
1 выполняет роль эдс источника сигнала.
Если в формулах .4 заменить э д с Е на напряжение U
1, а Zr на Zr
!, то получим выражение для расчета рабочего ослабления методом Z :

При измерениях абсолютных уровней напряжений U
1 и U
2 указатель уровня должен иметь высокое входное сопротивление (Z
v”Z
н, Z
v”Z
r ).

С целью повышения точности измерения ослабления его измеряют методом сравнения с образцовой мерой - магазином ослабления (МО), который представляет собой регулируемый четырехполюсник с известным с высокой точностью ослаблением. Метод сравнения может быть реализован двумя способами: методом известного генератора с применением схемы сравнения и методом Z с применением схемы сравнения.
Схема измерения рабочего ослабления методом известного генератора приведена на рис. 4.

Рис. 4. Измерение рабочего ослабления методом известного генератора с применением схемы сравнения.
При измерении переводят ключ В1 поочередно в первое и второе положение и регулируют магазин ослаблении до тех пор, пока индикатор напряжения (с высокоомным входным сопротивлением) не будет показывать одинаковые значения в обоих положениях ключа.
Размер рабочего ослабления определяют по формуле:

ВНИМАНИЕ! При измерении этим методом необходимо, чтобы Zr = Rо, где Ro - характеристическое сопротивление магазина ослаблений, т.е. характеристическое сопротивление магазина ослабления должно быть равно требуемому значению нагрузки четырехполюсника со стороны входных зажимов. Если это условие выполнить невозможно, измерять этим методом нельзя!

Рис. 5. Схема измерения рабочего ослабления методом Z с применением схемы сравнения.
Схема измерения рабочего ослабления методом Z с применением схемы сравнения приведена на рис. 5. Здесь в отличие от схема на рис. 4 входная цепь не коммутируется, а постоянно связана со входами исследуемого четырехполюсника магазина ослабления.
Процесс измерения заключается в выравнивании показаний индикатора напряжений в первом (I) и втором (2) положениях ключа В1 путем регулировки магазина ослабления. При равенстве показаний индикатора справедливо выражение

В качестве индикатора напряжения может быть использован любой измеритель напряжения с высокоомным входным сопротивлением.
Ro - сопротивления нагрузок магазина, равные характеристическому сопротивлению магазина ослабления.
2. Вносимое ослабление и его измерение.
Вносимое ослабление является мерой передачи энергии через четырехполюсник, в котором сравнивают в логарифмическом масштабе фактическую мощность, поступающую от источника сигнала (генератора) в нагрузку через четырехполюсник, которую мог бы отдать этот генератор в эту же нагрузку, если ее подключить к генератору непосредственно (исключив четырехполюсник).
Вносимое ослабление четырехполюсника определяют по формуле:

где Р
1 - полная мощность, поступающая в нагрузку четырехполюсника Zн при подключении ее непосредственно к выходным зажимам генератора с внутренним сопротивлением Zr (см. рис. 6);
Р
2 - полная мощность, поступающая в нагрузку через данный четырехполюсник (см. рис. I).

Рис. 6. Определение мощности P
1! Напряжения U
2! и абсолютного уровня напряжения p
U2!, при измерении вносимого ослабления.
Выразив мощности через напряжение и нагрузочное сопротивление, получим следующее выражение (9) для определения а
вн

Из него следует, что для измерения вносимого ослабления можно применить те же методы, что и для измерения рабочего
ослабления (сравните 9 с выражением 2), а зная рабочее ослабление, можно рассчитать вносимое ослабление:

Однако вносимое ослабление можно легко определять путем измерения напряжений на нагрузке при подключении ее непосредственно к генератору (U
2!) (рис. 6) и через четырехполюсник (U
2) (рис.1).
В этом случае внутреннее сопротивление генератора должно быть равно заданному значению сопротивления нагрузки со стороны входных зажимов.
Тогда вносимое ослабление будет определяться выражением
(11)

Этот метод измерения получил название - метод измерения уровней на нагрузке.
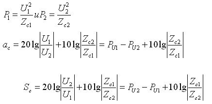
3. Собственное ослабление и его измерение
Собственное (характеристическое) ослабление это вещественная часть собственной постоянной передачи четырехполюсника, оно является параметром четырехполюсника и полностью определяется его свойствами.
Собственное ослабление а
с (собственное усиление S
с) четырехполюсника можно определить и путем сравнения мощностей:

где Р
1 и Р
2 - полные мощности на входе и выходе четырехполюсника, нагруженного на характеристические сопротивления (согласованно).
Эти соотношения можно преобразовать, учитывая, что

где Z
с1 и Z
с2 - характеристические сопротивления четырехполюсника;
U
1 и U
2 - напряжения на входных и выходных зажимах согласованно нагруженного четырехполюсника;
p
U1 и p
U2 - абсолютные уровни этих напряжений.
Измерив, эти напряжения вольтметром или их уровни измерителем уровня с высокоомными входными сопротивлениями, легко рассчитать собственное ослабление а
с. Этот метод принято называть методом измерения уровней.
Так как при согласованном включении рабочее ослабление равно собственному, то при таких нагрузках ( Zr =Z
с1, Z
н = Z
c2) все методы измерения рабочего ослабления могут быть использованы для измерения собственного ослабления. Кроме того, могут быть использованы и другие методы: метод холостого хода и короткого замыкания, метод сравнения с магазином ослабления, компенсационный метод.