Основные понятия
Ряд Фурье

- для периодического сигнала

- для амплитудно-модулированного сигнала, где:
T – период сигнала,
k – целое число,
w
1 - частота модулирующего сигнала,
w
0 – несущая частота.

- спектр плотности
непериодического сигнала

- текущий спектр непериодического сигнала
Примеры спектров некоторых сигналов:

Классификация методов анализа:
1. Метод ДПФ (дискретного преобразования Фурье)
2. Дисперсионный. Метод основан на использовании специальных линий задержки, у которых групповое время задержки линейно зависит от частоты.
3. Фильтровой.
Фильтровые методы
Последовательный анализ
Анализатор спектра с перестраиваемым фильтром.

ВУ – входное устройство;
ПФ – перестраиваемый по частоте полосовой фильтр;
Пр – преобразователь напряжения среднеквадратических значений (детектор);
УОИ – устройство отображения измерительной информации (обычно магнитоэлектрический измерительный механизм).
Полосовой фильтр настраивают на частоту исследуемой гармонической составляющей и УОИ показывает ее среднеквадратическое значение напряжения. Критерий настройки ПФ – максимум показаний УОИ.
Достоинство – простота.
Разрешающая способность анализатора спектра – минимальный частотный промежуток между составляющими спектра, при котором они могут быть измерены раздельно.

Разрешающая способность
D
fР зависит от формы амплитудно-частотной характеристики ПФ (см. рис.). Чем круче характеристика (выше избирательность) фильтра, тем лучше разрешающая способность. Безразмерный параметр

характеризует степень избирательности фильтра.
Основной недостаток – низкая разрешающая способность, так как перестраиваемый ПФ нельзя сделать высокоизбирательным. Обычно применяют простейшие RC- и LC- фильтры и их избирательность, а, следовательно, разрешающая способность анализаторов очень низкая.
Анализатор спектра с перестраиваемым гетеродином.
Структурная схема

ГSIN – перестраиваемый по частоте генератор гармонических колебаний (гетеродин);
ПФ – полосовой фильтр, центральную частоту которого принято называть промежуточной
fПР;

- усилитель сигнала промежуточной частоты
fПР;
ЭВ – электронный вольтметр с преобразователем среднеквадратических значений;
П – преобразователь частоты сигнала.
Преобразование спектра исследуемого сигнала
U(f) показано на рисунке:

На нижней спектрограмме показан спектр сигнала на выходе преобразователя частоты
UП(f) и частотная характеристика ослабления фильтра
a(f).
Частоты составляющих спектра на выходе преобразователя
П определяют в соответствии с выражением:
fГ ±
Fi . В анализаторах спектра предпочтение отдается нижней боковой полосе частот
fГ - Fi – удобнее убирать помехи по зеркальному каналу. В этом случае условие выделения составляющей спектра исследуемого сигнала
Fi принимает вид:

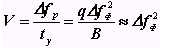
. Главный ограничитель скорости анализа спектра – переходные процессы в полосовом фильтре. Время установления переходного процесса
tу определяет выражение:

где
В – безразмерный коэффициент, определяемый формой импульсной характеристики фильтра. В
»
0,8
¸
2. Тогда выражение для скорости анализа спектра
V примет вид:

Чем уже полоса, тем дольше мы должны анализировать, скорость анализа низкая. Таким образом, анализатор с перестраиваемым гетеродином может обладать высокой разрешающей способностью и чувствительностью, однако, имеет низкую скорость анализа и пригоден для анализа спектра периодических сигналов и стационарных случайных процессов.
Одновременный фильтровой анализ.
Исследуемый спектр в этом случае подают на набор включенных параллельно фильтров и на выходе отдельных фильтров получают отклики. Одновременные анализаторы могут анализировать любые случайные и непериодические процессы, но они дороги и сложны.
Измерение нелинейных искажений.
Параметры искажений
Неискаженный сигнал– идеальный гармонический сигнал.
Степень нелинейности сигнала (степень отличия от гармонического сигнала) оценивают с помощью:
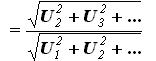
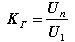
Коэффициента гармоник:

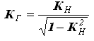
Коэффициента нелинейных искажений:

Коэффициента гармоник n-го порядка:

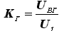
Коэффициента комбинационных частот:

Затухание нелинейности:

U
1, U
2 … U
n - среднеквадратические значения напряжения гармонических составляющих спектра сигнала.
U
ВГ - среднеквадратическое значение напряжения высших гармоник сигнала.

- среднеквадратическое значение напряжения разностной час-тоты сигнала на выходе, если на вход поданы два гармонических сигнала U
f1 и U
f2.
Расчетные формулы:
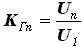
| Измеряемый параметр | Измерение анализатором спектра (избирательным вольтметром) |
 |  |
 |  |
| КГn |  |
Коэффициенты К
Г и К
Н связанны соотношением:
Если К
Н < 10%, то: К
Н » К
Г
Измеритель нелинейных искажений с подавлением первой гармоники (с заграждающим фильтром).
Структурная схема

ВУ - входное устройство;
Ус - усилитель с регулируемым коэффициентом передачи;
П - переключатель;
ЗФ - заграждающий фильтр, перестраиваемый по частоте;
ЭВ - электронный вольтметр с преобразователем среднеквадратичного напряжения.

Для реализации этой формулы с помощью ЭВ необходимо измерить числитель и знаменатель, поэтому измерение проводят в два этапа:
1) калибровка - переключатель П в положении 1:

путем регулировки коэффициента передачи усилителя К устанавливают напряжение равным калиброванному значению UКАЛИБР, поддерживая зна-менатель постоянным;
2) искажения - переключатель П в положении 2

производят настройку фильтра ЗФ на первую гармонику, исключая её тем самым из спектра сигнала. Критерий настройки ЗФ - минимум показаний ЭВ.
Измерение нелинейности устройств.
| Метод измерения |
Условия применения |
Измеряемый параметр |
| Гармонический |
Частота входного сигнала f=(0,1¸0,2)fPMAX выбирается с таким расчетом, чтобы на выходе устройства можно измерить 5¸10 гармоник |
КГ КН |
| f=(0,2¸0,3)fPMAX нелинейные искаже-ния оценивают по коэффициентам не-линейности по 2-ой и 3-ей гармоник |
КГn |
| Комбинационный |
Продукты нелинейности лежат в верхней части рабочего диапазона |
КK |
| Статистический |
Сигналы имеют случайный характер |
КCT |
f
PMAX - максимальная частота рабочего диапазона устройства.
Гармонический метод измерения нелинейных искажений устройств
Структурная схема

Г - генератор гармонических колебаний с малыми НИ;
ФНЧ - фильтр нижних частот, уменьшающий нелинейные искажения сигнала путем подавления высших гармоник;
ИО - исследуемый объект;
ИНИ - измеритель нелинейных искажений.