Тема 12. РАСЧЕТ ТРАНЗИСТОРНОГО УСИЛИТЕЛЬНОГО КАСКАДА
(задачи с решением)
Перейти к задачам без решения
|
Задача 12.1. Определить токи и напряжения статического режима усилительного каскада (рис. П12.1) на биполярном транзисторе (см. п. 14.5 теоретического материала), характеристики которого приведены на рис. П12.2.
Рис. П12.1 а,б
Рис. П12.2 а,б Параметры элементов схемы равны
Параметры стабилитрона: напряжение пробоя uпр = 8 В, дифференциальное сопротивление RД = 10 Ом. В окрестности рабочей точки определить H-параметры транзистора. Рассчитать коэффициенты усиления напряжения KU и тока KI в малосигнальном режиме, найти входное сопротивление каскада Rвх. |
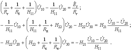
В статическом режиме рассчитываются постоянные составляющие токов и напряжений. Поэтому расчет осуществляется по схеме рис. П12.1, б с разомкнутыми конденсаторами (при наличии в исходной цепи катушек их следует закоротить). Система уравнений Кирхгофа для этой схемы имеет вид:
.
Приведем два последних уравнения к виду:
![]()
![]()
Изобразим прямую линию uкэ(iк), выражаемую первым уравнением, — нагрузочную прямую — на семействе выходных характеристик рис. П12.2, а. Она проходит через точки (eк - uпр, 0) на оси абсцисс и (0, (eк - uпр)/Rк) на оси ординат. Ее точки пересечения с отдельными характеристиками семейства отвечают различным значениям тока базы.
Из второго уравнения и входных характеристик (рис. П12.2, б) аналогично находится ток iб = 0,9 мА, uбэ = 2,85 В (точка А'). На выходных характеристиках ему отвечает точка А (iк = 30 мА, uкэ = 11 В).
Малосигнальные параметры транзистора найдем по входным и выходным характеристикам, задавая приращения тока D iб и напряжений D uкэ в окрестности рабочей точки. Из входной характеристики получим:
![]()
По выходным характеристикам найдем:

Параметр H12 по характеристикам транзистора не определяется, так как его величина (10–3 - 10–4) не позволяет это сделать с достаточной точностью. Поэтому примем H12 = 0.
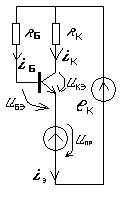
Для расчета малосигнального режима (синусоидальных составляющих токов и напряжений) составляется схема, в которую включается схема замещения транзистора; источники постоянных ЭДС закорачиваются, а нелинейные резистивные элементы — диоды, стабилитроны — заменяются их дифференциальными сопротивлениями или проводимостями. В области частот, для которой ведется расчет, емкостные сопротивления конденсаторов малы, и их можно принять равными нулю, т. е. считать конденсаторы закороченными, а катушки — разомкнутыми. В результате приходим к схеме, изображенной на рис. П12.3.

Рис. П12.3
Для расчета используем метод узловых напряжений, которому соответствует система уравнений:

После подстановки числовых значений проводимостей в миллисименсах, токов в миллиамперах и группировки подобных членов система узловых уравнений принимает вид:
|
12,5286 U10 |
-0,4 U20 |
+0 |
= 1, |
|
-20,4 U10 |
+120,5 U20 |
-0,1 U30 |
= 0, |
|
20 U10 |
-20,1 U20 |
+1,403 U30 |
= 0. |
Ее решение приводит к результатам: U10 = 0,0802 В, U20 = 0,0128 В, U30 = - 0,9605 В, что позволяет определить искомые характеристики каскада:

При работе в режиме изучения теоретического материала вернитесь назад к тексту Лекции 14.