Тема 7. РАСЧЕТ ЦЕПЕЙ СИНУСОИДАЛЬНОГО ТОКА
КОМПЛЕКСНЫМ МЕТОДОМ (задачи с решением)
Перейти к задачам без решения
|
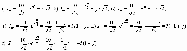
Задача 7.1. Найти комплексные токи (см. п. 7.2 теоретического материала), соответствующие синусоидальным функциям времени а) i = 10 sin(100p), б) i = 10 sin(100p + p/2), в) i = 10 sin(100p + p), г) i = 10 sin(100p + p/4), д) i = 10 sin(100p + 3p/4), е) i = 10 sin(100p + 5p/4). |
Применяя
правила перехода от мгновенных величин к комплексным, получим для комплексных амплитуд: а)
, б)
,
в)
,
г)
,
д)
,
е)
.
Комплексные действующие значения отличаются от указанных величин в
раза, т.е.
.
При работе в режиме изучения теоретического материала вернитесь назад к тексту Лекции 7.
|
Задача 7.2. Найти синусоидальные функции, соответствующие комплексным токам и напряжениям, считая, что частота их изменения равна
f. а) |
Амплитуда синусоидальной величины
Im равна модулю его комплексной амплитуды
, ее начальная фаза

От действующего значения комплексная амплитуда отличается множителем
. Поэтому в случаях а), б), в), г) комплексная амплитуда Im =
·
А. Для начальной фазы имеем: а)
, б)
, в)
, г)
. Круговая частота
ω определяется как ω = 2πf. Таким образом, в случае а) мгновенное значение тока выражается как
.
При работе в режиме изучения теоретического материала вернитесь назад к тексту Лекции 7.
|
Задача 7.3. Комплексное
напряжение на входе двухполюсника равно
|
Комплексное сопротивление найдем как отношение
. Комплексная проводимость — обратная величина
Y= 1/Z = 0,088 + j0,016 См. Полное сопротивление
z = 11,18 Ом — это модуль комплексного сопротивления
Z. Полная проводимость y = 0,0894 См — модуль комплексной проводимости
Y.
При работе в режиме изучения теоретического материала вернитесь назад к тексту Лекции 7.
|
Задача 7.4. Рассчитать комплексным методом распределение токов и напряжений в цепи (рис. П7.1,а), на входе которой действует источник синусоидального напряжения с действующим значением U0 = 10 В и круговой частотой w. Сопротивления элементов на этой частоте равны: R = ωL = 1/ωC = 10 Ом.
Рис. П7.1 |
Принимая начальную фазу входного напряжения
yu0 = 0, получим
= 10. В соответствии с изложенным в п.7.3. комплексные сопротивления отдельных элементов цепи равны:
Z1= 1/jwC = 10/j = - j10; Z2 = jwL и Z3 = R = 10.
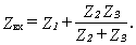
После перехода к комплексным величинам можно рассчитать входное сопротивление цепи, изображенной на рис. П7.1, б, используя те же правила, что и для расчета аналогичной по структуре резистивной цепи. Так как Z2 и Z3 соединены параллельно, то для входного сопротивления цепи имеем
![]()
После подстановки численных значений комплексных сопротивлений и алгебраических преобразований получим
![]()
Это выражение показывает, что на данной частоте рассматриваемая цепь эквивалентна последовательно включенным резистору с сопротивлением R = 5 Ом и реактивному сопротивлению X = – 5 Ом.
Отметим, что при преобразовании численных значений для входных сопротивлений любой пассивной цепи вещественная часть окончательного выражения эквивалентного сопротивления
не может оказаться отрицательной. Эквивалентное реактивное сопротивление пассивной цепи
X может иметь любой знак в зависимости от того, влияние каких реактивных элементов — индуктивных или емкостных — оказывается на данной частоте преобладающим. Возможен также случай, когда
X = 0, при котором индуктивные и емкостные элементы компенсируют друг друга. Однако для пассивной цепи, содержащей лишь
RL-элементы, X > 0, и, наоборот, для RC-цепи
X < 0.
Далее определим значение комплексного тока İ1:
![]()
Падение напряжения на емкости найдем, используя закон Ома в комплексной форме:
![]()
Комплексное падение напряжения на участке с параллельным соединением Z2 и Z3 находим с помощью уравнения второго закона Кирхгофа:
![]()
Последнее равенство справедливо лишь для комплексных напряжений. Аналогичное равенство для действующих значений не имеет места, так как входящие в него напряжения не совпадают по фазе.
По найденному напряжению
определим токи в параллельных ветвях:
![]()
Для проверки правильности полученных результатов убедимся в выполнении 1-го закона Кирхгофа для найденных токов:
![]()
Полученные комплексные значения токов и напряжений позволяют построить векторную диаграмму цепи. Для изображения векторов, выражающих синусоидальные функции времени, достаточно изобразить на комплексной плоскости все найденные комплексные значения токов и напряжений (рис. П7.2).

Рис. П7.2
В построенной векторной диаграмме выполняются все сформулированные ранее соотношения, определяющие взаимную ориентацию отдельных векторов. Из нее можно также определить действующие значения интересующих нас токов и напряжений как модули соответствующих им комплексных чисел. Действующие значения всех найденных токов и напряжений в рассмотренной цепи равны:
I1 = Ц2 » 1,4 А; I2 = 1 А; I3 = 1 А; U1 = 10Ц2 » 1,4 В; U23 = 10 В.
Таким образом, при использовании комплексного метода расчета цепей синусоидального тока векторная диаграмма не является непосредственным средством расчета, а может быть использована для наглядного контроля правильности полученных результатов — соблюдения законов Кирхгофа и соотношений между токами и напряжениями на отдельных элементах цепи.
При работе в режиме изучения теоретического материала вернитесь назад к тексту Лекции 7.
|
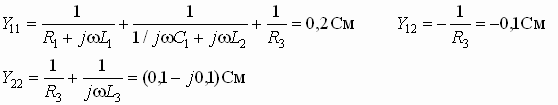
Задача 7.5. Рассчитать методом узловых напряжений распределение токов в цепи, изображенной на рис. П 7.3. Активные и реактивные сопротивления элементов цепи равны R1 = ωL1= 5 Ом, R3 = ωL2 = ωL3 = 10 Ом, 1/ωC2 = 20 Ом; Е1 = 10 В, J0 = 1 А.
Рис. П7.3 |
При использовании указанной на схеме нумерации узлов, запишем выражения для собственных и общей проводимостей узлов:

Узловые токи определяются действующими в цепи источниками:
.
Таким образом, система узловых уравнений имеет вид:
.
Ее решение дает:
, используя которое определим токи в ветвях:
;
При работе в режиме изучения теоретического материала вернитесь назад к тексту Лекции 7.