7.3 . СВЯЗИ МЕЖДУ СИНУСОИДАЛЬНЫМИ НАПРЯЖЕНИЯМИ И ТОКАМИ НА ЭЛЕМЕНТАХ R, L, C К плану данной лекции К следующему вопросу К предыдущему вопросу

7.3. СВЯЗИ МЕЖДУ СИНУСОИДАЛЬНЫМИ НАПРЯЖЕНИЯМИ И ТОКАМИ
НА ЭЛЕМЕНТАХ R, L, C

Используя компонентные уравнения, установим связь между основными характеристиками тока и напряжения на элементах. Подставив мгновенные значения тока i = Im sin wt в компонентные уравнения для uR и uL и напряжения u = Um sin wt — в iC, получим выражения для uR, uL и iC, приведенные в Таблице 7.1, из которых следуют соотношения между амплитудами и действующими величинами напряжений и токов U и I. Отношение U/I = Um/Im представляет сопротивление элемента — активное R и реактивные — XL (индуктивное) и XC (емкостное). Размерность всех сопротивлений — Ом. Обратные величины I/U представляют проводимости элементов — активную G и реактивные: BL (индуктивную) и BC (емкостную). Значения реактивных сопротивлений (и проводимостей) зависят от частоты. Выражения для мгновенных токов и напряжений i и u показывают, что ток и напряжение на резисторе совпадают по фазе, на индуктивности ток отстает от напряжения на угол p/2, а на емкости ток опережает напряжение на p/2.

Переход к комплексным характеристикам элементов осуществляется с помощью комплексных изображений мгновенного тока для сопротивления и индуктивности и напряжения для емкости. Подстановка их в компонентные уравнения приводит к комплексным изображениям uR, uL и iC, приведенным в Табл. 7.1, из которых получаем соотношения комплексных амплитуд напряжений и токов элементов и действующих значений и . Они выражают закон Ома в комплексной форме, в которой выступают комплексные сопротивления элементов . Обратные им величины — это комплексные проводимости . Комплексный характер сопротивлений и проводимостей Z и Y отражает информацию о фазовых сдвигах токов и напряжений на элементах.

Таблица 7.1.

Связи между синусоидальными напряжениями и токами на элементах R, L, C

Характеристика

Связи между напряжениями и токами на элементах

Во временной области

Компонентное уравнение

u = Ri

Мгновенные значения тока и напряжения

i = Im sin wt;

uR = RIm sin wt

i = Im sin wt;

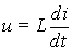
uL = wLIm cos wt =

wLIm sin (wt + p/2)

u = Um sin wt;

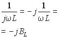
iC = wCUm cos wt =

wCUm sin (wt + p/2)

Амплитуда

Um = RIm

Um = wLIm

Um = (1/wC)Im

Действующие ток и напряжение

U = RI

U = wLI

U = (1/wC)I

Сопротивление

Проводимость

Начальная фаза тока и напряжения

yu = yi

yu yi + p/2

yu = yi – p/2

Угол сдвига фаз между током и напряжением j = yu – yi

0

p/2

– p/2

Графики тока и напряжения

Векторная диаграмма

Комплексное изображение

Мгновенные значения тока и напряжения

Комплексная амплитуда

Комплексное действующее значение

Комплексное сопротивление

R

jwL = jXL 

Комплексная проводимость

jwC = jBC 

Пример построения векторной диаграммы для цепи синусоидального тока приведен в Задаче 6.2.


Дальше
Обратно к плану лекции