7.4. ЭКВИВАЛЕНТНЫЕ ПАРАМЕТРЫ ДВУХПОЛЮСНИКА НА СИНУСОИДАЛЬНОМ ТОКЕ
Независимо от внутренней структуры, состава и параметров элементов двухполюсника, состоящего из произвольным образом включенных элементов R, L, C (рис. 7.4), при действии на его входе напряжения u = Um sin wt входной ток i также синусоидален и имеет в общем случае фазовый сдвиг j по отношению к напряжению: i = Im sin (wt – j). В зависимости от состава цепи и частоты w угол j лежит в пределах – p/2 £ j £ p/2.
Значения полных сопротивлений и проводимости не дают представления о фазовом сдвиге j между током и напряжением.
Такую информацию содержит комплексное сопротивление двухполюсника
. При принятых начальных фазах имеем
;
, следовательно, комплексное сопротивление двухполюсника равно:
![]()
Вещественная и мнимая части комплексного сопротивления представляют его активное R и реактивное X сопротивления: R = z cos j; X = z sin j.
Поскольку – p/2 £ j £ p/2, то активное сопротивление пассивного двухполюсника R ³ 0, а знак реактивного сопротивления X определяется знаком j. При j > 0, когда напряжение u опережает ток i (рис. 7.5, а,в), X > 0, двухполюсник в целом имеет индуктивный характер, и его можно при данной частоте заменить схемой замещения с последовательным соединением R и X (рис. 7.5, д).

Рис. 7.5
Если j < 0, напряжение отстает от тока (рис. 7.5, б,г), X < 0, цепь имеет емкостной характер и приводится к схеме замещения (рис. 7.5, е).
Аналогично вводим комплексную проводимость Y
![]()
выражаемую через активную G и реактивную B проводимости:
![]()
Эти величины также можно рассматривать как элементы схемы замещения двухполюсника (рис. 7.5, ж,з).
При перемножении комплексных сопротивления и тока согласно правилам комплексной алгебры получим
![]()
Это равенство и вытекающее из него
выражают комплексную форму закона Ома для двухполюсника:
![]()
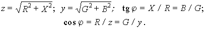
Имеем следующие соотношения между составляющими комплексных сопротивлений и проводимостей:

Активное R и реактивное X сопротивления двухполюсника можно изобразить в виде треугольника, гипотенузой которого является полное сопротивление z (рис. 7.6, а). Аналогичным образом связаны проводимости G, B и y (рис. 7.6, б).

Рис. 7.6
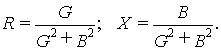
При переходе от эквивалентных сопротивлений к проводимостям воспользуемся формулами:
![]()
Аналогично получим и обратные зависимости:
![]()
Эти связи используются, в частности, для пересчета параметров при преобразовании последовательной схемы замещения двухполюсника (рис. 7.5, д,е) в параллельную (рис. 7.5, ж,з) и наоборот.
Из последних формул следует, что при синусоидальном токе эквивалентные параметры для произвольного двухполюсника R и G не являются обратными друг другу величинами. То же справедливо и в отношении реактивных параметров X и B.
Пример определения эквивалентных параметров двухполюсника дан в Задаче 6.3. Определение эквивалентных параметров двухполюсника по комплексным значениям входных величин иллюстрируется Задачей 7.3.