21.3. ОБЩИЙ МЕТОД РАСЧЕТА ИМПУЛЬСНЫХ ПРОЦЕССОВ В ЦЕПЯХ С ПОМОЩЬЮ z-ПРЕОБРАЗОВАНИЯ. ПЕРЕДАТОЧНЫЕ ФУНКЦИИ ИМПУЛЬСНЫХ СИСТЕМ
При расчете переходных процессов в цепях с непрерывными сигналами при нулевых начальных условиях дифференциальные уравнения не используются, а изображение выходного сигнала F2(s) выражается с помощью передаточной функции K(s) через изображение входного сигнала F2(s). Такой же подход без использования разностных уравнений возможен и при анализе импульсных систем c нулевыми начальными условиями.
При этом z-изображение входного сигнала F1(z), умноженное на некоторую функцию K(z), выражающую свойства цепи на языке z-преобразования (рис. 21.2), которую по аналогии назовем передаточной функцией импульсной системы, должно дать z-изображение выходного сигнала: F2(z) = K(z)F1(z).

Рис. 21.2
Правда, пока не вполне ясно, каким образом определяется передаточная функция K(z).
Поскольку K(z) = F2(z)/F1(z), то передаточная функция импульсной системы K(z) представляет собой z-изображение сигнала F2(z), возникающего на выходе при подаче на вход сигнала, изображение которого равно единице:
при
.
Из основной формулы z-преобразования следует, что F(z) = 1 описывает решетчатую функцию вида f[0] = 1, f[k] = 0, для всех значений k > 0. Эта функция определяет одиночный импульс, приложенный в начальный момент времени и имеющий единичную интенсивность (напомним, что интенсивность d-импульса определяет его площадь, а для описания интенсивности импульсов другой формы обычно используют амплитуду). Реакцией цепи на такой импульс является характеристика hи(t), а соответствующая решетчатая функция это дискретная импульсная характеристика цепи hи[k]. Таким образом, передаточная функция импульсной системы Kи(z) представляет собой z-изображение дискретной импульсной характеристики hи[k]. Отсюда следует, что передаточная функция дискретной системы Kи(z) зависит не только от свойств самой цепи, но и от формы действующих импульсов и шага дискретизации Т. Как и обычная передаточная функция K(s), Kи(z) является дробно-рациональной функцией аргумента z и зависит от структуры цепи и параметров ее элементов.
Наиболее просто определить передаточную функцию для последовательности идеализированных d-импульсов (см. рис. 20.6, б). В этом случае одиночный “тестирующий” импульс представляет собой d-функцию d(t), а реакция системы на его воздействие это импульсная характеристика цепи hd(t). Поэтому передаточная функция импульсной системы представляет z-изображение последовательности значений этой характеристики, взятых через интервалы времени Т:
.
После суммирования ряда функция Kd(z) приводится к дробно-рациональной функции переменной z.
Для RC-цепи (см. рис. 20.1, б) имеем hd(t) = e–t/t (t = RC) и
.
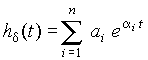
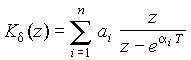
Для более сложных цепей импульсная характеристика выражается суммой экспонент
,
где ai корни характеристического уравнения цепи (полюсы передаточной функции K(s); п число корней; ai вычеты в полюсах.
Применение z-преобразования к каждому из слагаемых суммы приводит к результату
.
При действии последовательности прямоугольных импульсов длительностью
Tи для определения передаточной функции цепи используем полученное ранее выражение дискретной импульсной характеристики. Так, для простейших интегрирующих цепей (см. рис. 20.1, а, б) имеем
. Получим z-изображение этой последовательности:
,
что совпадает с результатом, полученным ранее для этой же цепи при помощи разностных уравнений [отношение U2(z)/U1(z) из формулы (21.1)].
Из приведенных соотношений следует, что передаточная функция Kи(z) зависит не только от структуры и элементов цепи, но и от формы воздействующих на цепь импульсов и интервала их следования T.
Как и в системах непрерывного времени, где коэффициенты дифференциального уравнения, связывающего входную и выходную величины (см. п.19.5), определяются коэффициентами полиномов числителя и знаменателя передаточной функции
K(s), коэффициенты полиномов числителя и знаменателя
K(z) представляют коэффициенты разностного уравнения, связывающего входную и выходную величины. Так, передаточная функция
соответствует разностному уравнению
.
Пример применения изложенного пути расчета рассмотрен в Задаче 19.2.
Отметим также, что способ расчета, основанный на изучением поведения цепи под действием d-импульсов, можно распространить на импульсы конечной длительности, так как длительный импульс можно приближенно представить как последовательность идеальных импульсов с достаточно малым шагом дискретизации T (рис. 20.5). При этом должна быть соблюдена эквивалентность площадей каждого участка исходного импульса и заменяющего его идеального импульса.