21.2. ПРИМЕНЕНИЕ z-ПРЕОБРАЗОВАНИЯ К РЕШЕНИЮ РАЗНОСТНЫХ УРАВНЕНИЙ ЭЛЕКТРИЧЕСКИХ ЦЕПЕЙ К плану данной лекции К следующему вопросу К предыдущему вопросу

21.2. ПРИМЕНЕНИЕ z-ПРЕОБРАЗОВАНИЯ К РЕШЕНИЮ РАЗНОСТНЫХ УРАВНЕНИЙ ЭЛЕКТРИЧЕСКИХ ЦЕПЕЙ

В результате прямого z-преобразования входного сигнала и разностных уравнений, описывающих процессы в цепи, получим алгебраические уравнения для изображений искомых величин. После их нахождения используют формулы обратного z-преобразования для перехода к соответствующей решетчатой функции.

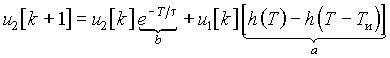
В качестве примера рассмотрим цепь первого порядка, находящуюся под действием последовательности прямоугольных импульсов (см. рис. 20.6, а), разностное уравнение которой, полученное в п. 20.4, имеет вид

.

Обозначив постоянные коэффициенты уравнения а и b, перепишем его в виде

.

Перейдем к z-изображениям членов уравнения: u1[k®  U1(z); u2[k®  U2(z). Согласно правилу изображения смещенной последовательности, найдем u2[k + 1] ®  z(U2(z) – u2[0]) = zU2(z) (так как u2[0] — напряжение на выходе цепи в момент подачи первого импульса — равно нулю).

В результате разностное уравнение приводится к алгебраическому

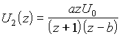
,

из которого найдем изображение выходного напряжения:

.    (21.1)

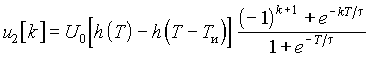
Окончательная форма оригинала u2[k] зависит от конкретного вида последовательности входных импульсов u1[k]. z-изображение знакопеременной последовательности u1[k] — одинаковых по величине и чередующихся по знаку импульсов (см. рис. 20.11), описываемых выражением u1[k] = (– 1)kU0, можно получить, из формулы изображения экспоненты, приняв множитель в показателе a = jp (ea = ejp = – 1):

.

В результате искомое z-изображение выходного напряжения выражается соотношением

.

Для перехода к оригиналу этой дроби, имеющей два простых полюса z = b и z = – 1, воспользуемся формулой, вытекающей из теоремы о вычетах:

.

После подстановки выражений а и b запишем:

.

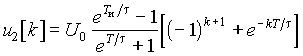
Поскольку для простейших интегрирующих цепей (см. рис. 20.1, а,б) имеем h(T) = 1 – eT/t, то для выходного напряжения отсюда следует выражение, совпадающее с найденным ранее (см. п. 20.6) с помощью дискретной свертки:

.


Дальше
Обратно к плану лекции