20.4. РАЗНОСТНЫЕ УРАВНЕНИЯ ПРОСТЕЙШИХ ЦЕПЕЙ, ИХ НЕПОСРЕДСТВЕННОЕ РЕШЕНИЕ
Пусть на входе интегрирующей цепи (см. рис. 20.1, а,б) действует последовательность прямоугольных импульсов с амплитудой U1, длительностью Tи, следующих с интервалом T (рис. 20.9).

Рис. 20.9
Рассмотрим процессы в цепи на n-м интервале nT < t < (n + 1)T. В начале напряжение u2 нарастает по закону u2(t') = U1 + (– U1 + u2[n]) e–t'/t, где t' = t – nT.
К моменту t' = Tи оно достигает значения u2(Tи) = U1 + (u2[n] – U1) e–Tи/t. В промежутке Tи < t' < T входное напряжение равно нулю, а выходное напряжение спадает по экспоненте: u2(t') = u2(Tи) e–(t'– Tи)/t. В результате к моменту появления на входе цепи следующего импульса (t' = T) напряжение u2 становится равным
.
Группируя члены, окончательно получим
| (20.1) |
Это соотношение представляет собой линейное неоднородное разностное уравнение 1-го порядка. Теория решения таких уравнений аналогична теории дифференциальных уравнений. Решение имеет две составляющие
,
представляющие частное решение неоднородного уравнения
и общее решение соответствующего однородного уравнения
. Последнее будем искать в виде
. Подставляя эту форму в однородное уравнение, найдем
q = e–T/t, поэтому общее решение неоднородного разностного уравнения можно записать в виде
u2[n] = A1qn + A2. Обе постоянные определяют из условий при
t = 0 и t ®
¥. Так как при t = 0 (n = 0) выходное напряжение
u2 = uC отсутствует,
u2[0] = 0. Учитывая, что в цепи при
t ®
¥
устанавливается стационарный режим, при n ®
¥
имеем u2[n + 1] ® u2[n].
Оба эти условия позволяют определить значения постоянных A1 и A2 из системы:
;
,
откуда
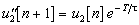
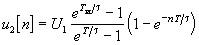
.
.
В случае, когда действующие на входе цепи прямоугольные импульсы имеют переменную амплитуду, описываемую решетчатой функцией u1[n], в разностном уравнении (20.1) следует заменить U1 на u1[n]. В результате уравнение принимает вид
,
где a = e– T/t,
.
Получим разностное уравнение для произвольной цепи 1-го порядка, находящейся под действием последовательности прямоугольных импульсов длительностью Tи и амплитудами u1[n]. Будем рассматривать лишь цепи с ограниченной импульсной характеристикой, для которых h(0) = 0 и hd имеет всюду конечное значение.
Если на n-ом интервале действующий на входе импульс
u1[n] отсутствует, то в цепи 1-го порядка все токи и напряжения изменяются по экспоненциальному закону
e–t/t, где t постоянная времени цепи. Поэтому за время
T выходная величина изменится от значения
u2[n] до значения
. Если же предположить, что в начале интервала
u2[n] = 0, то выходное напряжение к концу интервала определится только действием входного импульса. Эту составляющую с помощью переходной характеристики
h(t) можно определить как разность:
,
рассматривая импульс длительностью Tи как включаемое в начале интервала напряжение u1[n] и включаемое при t = Tи отрицательное напряжение такой же величины – u1[n]. Применяя принцип наложения, получим искомое разностное уравнение для цепи 1-го порядка при действии прямоугольных импульсов
.
Переходя к пределу при Tи ® 0, получим уравнение, описывающее поведение цепи при действии d-импульсов. При Tи ® 0 h(T) – h(T – Tи) ® hd(T) Tи. В результате разностное уравнение приводится к виду
,
где
площадь
d-импульса. Полученное уравнение выражает напряжение на выходе цепи до начала действия очередного
d-импульса u1*[n + 1]. После подачи этого импульса выходное напряжение изменяется скачком на величину
Du2[n + 1] = u1[n + 1]hd(+ 0).
Пример составления разностного уравнения для цепи 1-го порядка рассмотрен в Задаче 18.1.