19.5. ПОЛУЧЕНИЕ ОПЕРАТОРНЫХ ИЗОБРАЖЕНИЙ ПРИ НУЛЕВЫХ НАЧАЛЬНЫХ УСЛОВИЯХ... К плану данной лекции К следующему вопросу К предыдущему вопросу

19.5. ПОЛУЧЕНИЕ ОПЕРАТОРНЫХ ИЗОБРАЖЕНИЙ ПРИ НУЛЕВЫХ НАЧАЛЬНЫХ УСЛОВИЯХ. ОПЕРАТОРНЫЕ ПЕРЕДАТОЧНЫЕ ФУНКЦИИ

Весьма часто приходится рассматривать переходные процессы при нулевых начальных условиях, когда цепь, подключаемая со стороны входных зажимов к внешнему источнику (рис. 19.5), в момент коммутации не обладает запасом энергии.

Рис. 19.5

Поскольку при этом для всех динамических элементов цепи имеем uC(0) = 0, iL(0) = 0, то операторные схемы замещения динамических элементов не содержат источников, эквивалентирующих начальные условия, и задача определения изображений существенно упрощается, так как операторные изображения токов и напряжений катушек и конденсаторов связаны простыми соотношениями:

Таблица 19.1

Элемент

выражающими закон Ома в операторной форме. Сопротивления Z(s) и проводимости Y(s) (табл. 19.1) можно рассматривать как элементы резистивной цепи, которую рассчитывают с помощью обычных для таких цепей методов и приемов, хотя сопротивления, отвечающие динамическим элементам, выступают в алгебраической форме.

Пример расчета операторным методом цепи при нулевых начальных условиях рассмотрен в Задаче 15.2.

К операторным сопротивлениям или проводимостям элементов цепи можно применять известные правила преобразования резистивных цепей: сложение проводимостей параллельных ветвей, преобразования источников ЭДС и тока, преобразования треугольника в звезду и др.

Отношение изображений выходного F1(s) и входного напряжений (или токов) F2(s) цепи называется операторной передаточной функцией цепи (или просто передаточной функцией) . Для любой цепи с сосредоточенными параметрами K(s) — рациональная функция параметра s

,

коэффициенты которой ak и bk выражаются через параметры цепи.

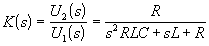
Так, для цепи (рис. 19.5) рассматриваемой в Задаче 15.2 передаточная функция имеет вид

.

Операторная передаточная функция представляет собой обобщенное описание связи входного и выходного сигналов, выражающее характер преобразования сигнала, определяемый структурой цепи и ее параметрами. Передаточная функция K(s) охватывает как частные случаи и синусоидальный режим, для перехода к которому следует положить s = jw и режим постоянного тока при s = 0. Так как d-функция имеет изображение, равное единице, то передаточную функцию можно рассматривать как операторное изображение выходной величины при подаче на вход напряжения, имеющего вид d-функции.

Знаменатель передаточной функции представляет собой характеристический полином рассматриваемой цепи — его корни являются корнями характеристического уравнения. Для нахождения характеристического уравнения, описывающего процесс подключения цепи к источнику ЭДС, следует записать входное операторное сопротивление цепи и приравнять его к нулю: Zвх(s) = 0.

При нулевых начальных условиях оператор s имеет смысл оператора дифференцирования , а его степени отвечают производным высших порядков. Поэтому по известной передаточной функции можно также записать дифференциальное уравнение, определяющее закон преобразования входного сигнала f1 в выходной f2. Для записанного выше общего выражения передаточной функции это дифференциальное уравнение имеет вид

.


Дальше
Обратно к плану лекции