9.5. ИНДУКТИВНО СВЯЗАННЫЕ КОЛЕБАТЕЛЬНЫЕ КОНТУРЫ, ИХ ЧАСТОТНЫЕ СВОЙСТВА
Индуктивно связанные колебательные контуры (рис. 9.12) описываются теми же контурными уравнениями, что и схема трансформатора.
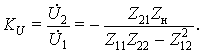
Коэффициент передачи по напряжению рассматриваемой системы

Поскольку Zн = R; Z11 = Z22 = R + j(w L – 1/w C), перепишем его выражение в виде

Характер частотной зависимости модуля

можно объяснить следующим образом. Представим
KU(w) как произведение трех функций частоты:
f1(w) = w
MR; f2,3(w) =
, изображенных на рис. 9. 13.
|
Рис. 9.13 |
Первая из них f1 линейная. Функции
f2 и f3 совпадают с частотными характеристиками проводимости одиночного последовательного колебательного контура с параметрами
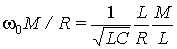
R, C и L ± M соответственно. Поэтому они достигают одинаковых максимумов на частотах
w 1 = |
При высокой добротности контуров Q = ЦL/C/R
кривые f2 и
f3
имеют резкий всплеск в зоне максимума. Поэтому произведение
f2f3 имеет два максимума вблизи частот
w1 и w2 и минимум на промежуточной частоте, близкой к
w0. С увеличением коэффициента связи контуров
k =
= M/L оба максимума удаляются друг от друга. Третий сомножитель, входящий в
KU — линейная функция f1 — не изменяет описанного характера частотной зависимости. Поэтому и амплитудно-частотная характеристика
KU(w) при больших значениях
Q и k имеет описанный характер с двумя максимумами и минимумом между ними (кривая
k = 0,25 на рис. 9.14).

Рис. 9.14
Анализ выражения
=
показывает, что с увеличением значений
k и Q провал частотной характеристики усиливается. При преобразовании последней формулы было использовано соотношение
=
.
С уменьшением добротности контуров Q и коэффициента связи k кривые f2 и f3 приобретают более плавный характер, их максимумы сближаются. В результате оба максимума кривой KU(w) сливаются, и амплитудно-частотная характеристика имеет один максимум wm2 вблизи частоты w0 (кривые k = 0,1 и 0,03 на рис. 9.14).
Более строгий анализ частотной зависимости KU(w) выполнен в учебнике [Л.1]. Приведем его основные результаты.
1. При сильной связи контуров
коэффициент передачи KU достигает одинаковых максимумов, равных Ku max max = 1/2. Между ними зависимость имеет один минимум (кривая
1 на рис. 9.14).
Минимальное значение KU min мало отличается от своего значения на частоте w0, полученного выше.
Таким образом, с ростом добротности контуров
Q провал на частотной характеристике становится все более резко выраженным, а частоты максимумов приближаются к значениям
.
2. При критической связи контуров
все три значения частот экстремумов сливаются и частотная зависимость имеет единственный максимум на частоте
wм =
, при которой
KU = 1/2. Эта кривая напоминает частотную характеристику одиночного колебательного контура, но она имеет более гладкий характер в полосе пропускания, а за пределами этой полосы спад характеристики происходит более резко (кривая
2 на рис. 9.14).
3. При слабой связи контуров (k < kкр) зависимость имеет единственный максимум. Его значение меньше 1/2 и падает по мере уменьшения k (кривая 3 на рис. 9.14).