9.3. ТРАНСФОРМАТОРЫ С ЛИНЕЙНЫМИ ХАРАКТЕРИСТИКАМИ
Трансформатор имеет две индуктивно связанные обмотки, не имеющие между собой электрической связи. Рассмотрим работу трансформатора в синусоидальном режиме.
|
Рис. 9.9 |
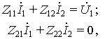
Для его схемы замещения, включающей активные сопротивления обмоток R1 и R2 (рис. 9.9), имеем следующие уравнения в комплексной форме: |
где Z11 = R1 + jwL1; Z22 = R2 + jwL2 + Zн; Z12 = Z21 = jwM; Zн = Rн + jwXн — комплексное сопротивление нагрузки трансформатора.
Соотношения между первичными и вторичными токами и напряжениями. Выразим из второго уравнения системы вторичный ток
через первичный
:

Подставляя этот результат для
в первое уравнение исходной системы, получим:

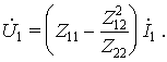
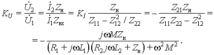
Выражение в скобках представляет собой входное сопротивление трансформатора Zвх. Передаточная функция по напряжению трансформатора KU определяется как отношение

Исследуем характер частотной зависимости
KU(w). При низких частотах

Следовательно, в области высоких частот спад коэффициента передачи по напряжению
KU определяется членом, содержащим w2 в знаменателе. Этот член отсутствует у совершенного трансформатора, для которого коэффициент связи
. Таким образом, уменьшение значения
KU в области высоких частот обусловлено рассеянием магнитного потока обмоток. Коэффициент передачи совершенного трансформатора с
k = 1 KU = – M/L1. Используя выражения для индуктивностей обмоток с совершенной связью
M = w1w2/Rм и
, запишем последнее выражение в виде
KU = – w2/w1 = – 1/c. Отношение числа витков первичной и вторичной обмоток трансформатора
w1/w2 = c называется коэффициентом трансформации.
Таким образом, у совершенного трансформатора при нулевых активных сопротивлениях обмоток и отсутствии рассеяния коэффициент передачи по напряжению KU не зависит от частоты и определяется отношением числа витков обмоток трансформатора
![]()
Рассмотрим далее выражение KI совершенного трансформатора. Если при R2 = 0 дополнительно обеспечить условия wM >> Zн, w L1 >> Zн (что достижимо при высокой магнитной проницаемости сердечника), то коэффициент передачи по току KI = – M/L2 = – w1/w2 = – c. Это условие в совокупности в полученным ранее для KU определяет так называемый идеальный трансформатор.
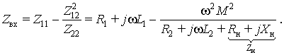
Входное сопротивление трансформатора. Рассмотрим выражение для входного сопротивления трансформатора

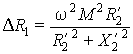
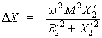
Принимая обозначения R2' = R2 + Rн и X2' = wL2 + Xн для суммарных параметров вторичного контура и разделяя вещественную и мнимую части в выражении для Zвх, приведем его к виду

Дополнительные слагаемые, обусловленные влиянием вторичного контура
и
, называются вносимыми активным и реактивным сопротивлениями. Значение
DR1 ³ 0, так как эта величина определяет активную мощность, передаваемую от первичной обмотки к вторичной. Знак вносимого сопротивления
DX1 противоположен знаку
. При положительном значении
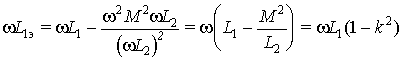
сопротивление вторичного контура имеет индуктивный характер: этот контур оказывает размагничивающее влияние на первичный контур и ведет к уменьшению его эквивалентной индуктивности. Это размагничивание будет наиболее интенсивным при
R2 = 0 и Zн = 0 — замкнутой накоротко идеально проводящей вторичной обмотке. В этом случае эквивалентная индуктивность первичного контура определяется из выражения мнимой части
Zвх:
.
Эта величина не может быть отрицательной, так как значение коэффициента связи трансформатора k £ 1.
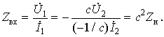
Входное сопротивление идеального трансформатора равно

Поэтому его можно использовать для согласования нагрузки с сопротивлением
Zн и источника с выходным сопротивлением
Zг. Условие согласования Zг = Zвх можно обеспечить, включая между источником и нагрузкой согласующий трансформатор с коэффициентом трансформации
.