7.8. КОЛЕБАНИЯ ЭНЕРГИИ В ЦЕПИ СИНУСОИДАЛЬНОГО ТОКА
|
Рис. 7.11 |
Изучим более детально энергетические процессы в цепи с двумя накопителями энергии
— последовательном RLC-контуре, находящемся под действием источника синусоидального напряжения
u0 = Umsinwt
(рис. 7.11). В общем случае ток в цепи имеет фазовый сдвиг относительно напряжения и равен
i = Imsin(wt – j), где
Im = Um/z; |
Характер изменения в течение периода мгновенной мощности, потребляемой контуром в целом от источника p0 = u0i = UI(cosj – cos(2wt – j)), изображенный на рис. 7.9, был нами изучен ранее.
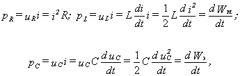
Рассмотрим теперь баланс мгновенных мощностей, потребляемых отдельными элементами контура. Для этого воспользуемся соотношениями, связывающими напряжения на отдельных участках цепи с током i:
![]()
Для мгновенных мощностей, потребляемых отдельными элементами, имеем:

где Wм = Li2/2, Wэ = CuC2/2 — энергия магнитного поля катушки и электрического поля конденсатора.
Так как условие баланса мощностей выполняется для любого момента времени, то
![]()
|
Рис. 7.12 |
На рис. 7.12 приведены зависимости тока, напряжений и отдельных слагаемых последнего выражения от времени. Величина pR выражает мощность, определяющую необратимые потери в цепи. Она имеет квадратичный характер зависимости от тока i, и, следовательно, является неотрицательной в течение всего периода, принимая нулевые значения в моменты перехода тока через нуль и достигая максимума при максимуме тока в контуре рис. 7.12, б. Ее среднее за период значение определяет активную мощность, потребляемую контуром в течение всего периода P = UIcosj. Мощность, потребляемая индуктивным элементом pL (рис. 7.12, в), знакопеременна. При увеличении абсолютного значения тока в катушке происходит накопление энергии в магнитном поле Wм = Li2/2, и pL > 0, а в течение последующей части периода, когда ток убывает по абсолютной величине, эта накопленная энергия отдается — pL < 0. Аналогично, потребление мощности конденсатором (pC > 0) происходит при увеличении модуля напряжения uC (рис. 7.12, г). |
В течение этой части периода величины uC и i имеют одинаковые знаки, и возрастает энергия Wэ = CuC2/2. При разряде конденсатора, когда uC уменьшается по модулю, его энергия убывает, и его мгновенная мощность отрицательна — pC < 0 (здесь uC и i имеют противоположные знаки). Поскольку при последовательном соединении конденсатора и катушки их напряжения находятся в противофазе, uC и uL имеют противоположные знаки, то для мощностей pC и pL справедливо такое же соотношение: при накоплении энергии конденсатором катушка отдает ее, и наоборот. Таким образом, в контуре происходит обмен энергией между катушкой и конденсатором. Так как в рассматриваемом случае контур в целом имеет индуктивный характер, то максимальная энергия, запасаемая катушкой, в течение периода превосходит максимальную энергию, запасаемую конденсатором. Поэтому циклический обмен энергией между реактивными элементами цепи L и C не сбалансирован, и в течение части периода, когда напряжение на зажимах цепи u0 и ток i имеют противоположные знаки, часть энергии, запасенной катушкой, отдается питающему контур источнику — p = u0i < 0.
При емкостном характере цепи, наоборот, максимальная энергия, запасаемая конденсатором, превосходит максимальную энергию катушки, и отдача энергии источнику в течение части периода обеспечивается конденсатором. В этом случае амплитуда колебаний мгновенной мощности pC превосходит амплитуду колебаний мощности pL.
В случае резонанса имеем j = 0, и ток и напряжение на зажимах контура совпадают по фазе. При этом обмен энергией между катушкой и конденсатором сбалансирован, и нет обмена между реактивными элементами и источником питания, т.е. максимумы pL и pC одинаковы. Энергия источника в режиме резонанса полностью отдается резистивному элементу контура.
Подобные колебания энергии имеют место и в более сложных цепях синусоидального тока. Потребление энергии резистивными элементами имеет пульсирующий характер, подобный изображенному на рис. 7.12, б. В течение части периода, когда возрастают абсолютные значения токов iL, соответствующие индуктивные элементы запасают энергию в их магнитном поле. Эта энергия отдается в течение части периода, когда токи iL убывают по модулю. Аналогично накопление энергии конденсаторами цепи происходит при увеличении напряжения uC, и эта энергия отдается другим элементам при его убывании. Для цепи в целом, не находящейся в режиме резонанса, в течение части периода, когда ток и напряжение на зажимах источника противоположны по знаку, накопленная энергия отдается источнику.