Термины и определения
Понятие фазового сдвига введено только для гармонических сигналов с одинаковой частотой:
U1=Um1sin(w
t+j
1) y
=w
t+j
0 – фаза колебания
U2=Um2sin(w
t+j
2) j
0 – начальная фаза
j
=y
1 - y
2=(w
t+j
1)- (w
t+j
2)= ê
j
1-j
2ê
Фазовый сдвиг – модуль разности начальных фаз.
Знание фазового сдвига позволяет выявить причины искажения сигнала.
Условие неискаженной передачи – фазовая характеристика должна быть линейной.

Групповое время запаздывания – время распространения максимума энергии сигнала, состоящего из группы близких по частоте гармонических составляющих.

Структурная схема измерения фазового сдвига.

j
- измеритель фазового сдвига;
ИЧ – исследуемый четырехполюсник;
Г - генератор гармонических колебаний.
Методы:
-осциллографический;
-метод преобразования фазового сдвига во временной интервал и в напряжение;
-цифровые методы.
Осциллографические методы
Метод линейной развертки
Исследуемые сигналы U
1 и U
2 подают на входы каналов вертикального отклонения двухканального осциллографа Y
1 и Y
2 и получают осциллограмму этих сигналов (см. рисунок).

По линейным размерам осциллограммы
l и
L определяют фазовый сдвиг:

погрешность измерения составляет

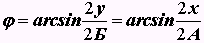
Метод синусоидальной развертки (фигур Лиссажу).
Если в ЭО установить режим внешней развертки и подать на входы X и Y сигнолы, между которыми необходимо измерить фазовый сдвиг, то на экране осциллографа можно получить фигуру Лиссажу (см. рисунок):

Измерение линейных размеров фигуры позволяет вычислить фазовый сдвиг:

Когда a>b , j
> 90
o , в этом случае

Погрешность оценивают по методике оценки погрешности косвенных измерений, и она составляет

в зависимости от размера фазового сдвига и погрешности измерения линейных размеров.
При выполнении условия А=Б

Равенство А=Б устанавливают при помощи ступенчатого и плавного регуляторов коэффициентов отклонения каналов X и Y.
Измерение фазового сдвига с преобразованием его во временной интервал и напряжение.
Метод реализуют с помощью следующей структурной схемы:

ФУ
1,2 – формирующие устройства, которые формируют из гармонического сигнала сигнал с крутыми фронтами.
ФУ
3 – формирующее устройство для формирования сигнала с калиброванным пиковым значением
UР.
ФНЧ – фильтр нижних частот для выделения постоянной составляющей сигнала
UСР.
ЦВ – цифровой вольтметр постоянного напряжения.
БФ – блок формирования временного интервала
D
tj
.
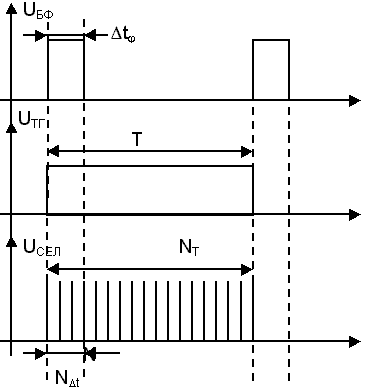
На рисунке показаны временные диаграммы сигналов в разных точках структурной схемы:

Среднее значение напряжения на выходе ФНЧ определяется выражением:
Следовательно, показание ЦВ будет пропорционально фазовому сдвигу
j
Источники погрешности измерения:
1)погрешность формирования временного интервала
D
tj
2)нестабильность напряжения U
p
3)погрешность ЦВ
Цифровой фазометр с времяимпульсным преобразованием за 1 период.
Структурная схема такого фазометра имеет вид:

Г
П - генератор коротких импульсов с частотой следования
fГ;
Вр. Сел. – временной селектор (электронный ключ, электронный коммутатор);
Сч – счетчик импульсов;
Тг – триггер;
Ар.Ус. – арифметическое устройство;
БФ – блок формирования интервала
D
tj
(см. предыдущую схему).

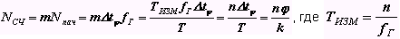
Выразим фазовый сдвиг через показания счетчика:

здесь
k – коэффициент пропорциональности.
Источники погрешности:
погрешность, вносимая БФ;
погрешность дискретизации (квантования)

Из формул видно, что с ростом частоты исследуемого сигнала
f погрешность дискретизации увеличивается и на высоких частотах становится недопустимо большой.
Цифровой фазометр средних значений (с постоянным временем измерения)

ДЧ – делитель частоты в
n раз – формирует временной интервал
TИЗМ, в течение которого происходит измерение;
ЦОУ – цифровое отсчетное (отображающее) устройство;
остальные обозначения соответствуют предыдущей схеме.
Работа схемы проиллюстрирована временными диаграммами:

Количество пачек импульсов на выходе Вр.сел2
m:

Количество импульсов в пачке
Nпач:
Nпач =
D
tj
fГ
Тогда общее количество импульсов, накопленное в счетчике за время измерения
TИЗМ :

Если коэффициент деления частоты
fГ n=360, то 1 импульс счетчика будет соответствовать 1 градусу фазового сдвига и показания счетчика будут равны фазовому сдвигу. Для повышения точности измерения достаточно увеличить коэффициент деления частоты до
3600 или
36000 и погрешность индикации уменьшится до
0,1°
или
0,01°
соответственно.
Погрешность дискретизации определяется двумя факторами: случайным временным положением интервалов
D
tj
относительно счетных импульсов
d
д1 и случайным положением интервала
TИЗМ относительно интервалов

Суммарная погрешность дискретизации равна:

Источники погрешности:
- погрешность дискретизации;
- погрешность формирования интервала
D
t
j
(БФ).