20. АНАЛИТИЧЕСКИЕ СВОЙСТВА ВХОДНЫХ И ПЕРЕДАТОЧНЫХ ФУНКЦИЙ (задачи без решения) К списку тем практических занятий

Тема 20. АНАЛИТИЧЕСКИЕ СВОЙСТВА ВХОДНЫХ И ПЕРЕДАТОЧНЫХ ФУНКЦИЙ
(задачи без решения)

Перейти к задачам с решением

Задача 20.1. Исследовать свойства цепи с симметричным квадрантным расположением полюсов и нулей ; (рис. П20.1), имеющей модуль, равный единице при s = 0.

Рис. П20.1

Показать соответствующий раздел теоретического материала Лекции 22

Показать решение задачи

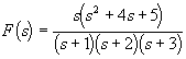
Задача 20.2. Проверить положительность и вещественность функции

.

Показать соответствующие разделы теоретического материала Лекции 22 — положительность (22.3) и вещественность (22.2)

Показать решение задачи

Конец

Обратно к списку тем практических занятий
Обратно к плану соответствующей лекции