Тема 20. АНАЛИТИЧЕСКИЕ СВОЙСТВА ВХОДНЫХ И ПЕРЕДАТОЧНЫХ ФУНКЦИЙ
(задачи с решением)
Перейти к задачам без решения
|
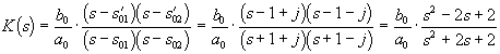
Задача 20.1. Исследовать свойства цепи с симметричным квадрантным расположением полюсов и нулей
Рис. П20.1 |
Исходные данные приводят к однозначному определению передаточной функции в виде
.
При s = 0 K(0) = 1, и, следовательно,
. Поэтому окончательно имеем:
;
.
Очевидно, что на мнимой оси при
функция имеет постоянный модуль и аргумент, равный
.
Такую цепь можно использовать в качестве фазового корректора и реализовать на базе симметричного моста с активными
и реактивными
сопротивлениями (см. рис. П20.2).
Рис. П20.2
При работе в режиме изучения теоретического материала вернитесь назад к тексту Лекции 22.
|
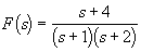
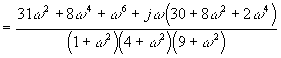
Задача 20.2. Проверить положительность (22.3) и вещественность (22.2) функции
|
Поскольку коэффициенты слагаемых сомножителей числителя и знаменателя вещественны, то при
F(s) представляет вещественную функцию.

Рис. П20.3
Распределение полюсов и нулей F(s), изображенное на рис. П20.3, показывает, что
F(s) аналитична в правой полуплоскости. Поэтому при проверке условия положительности достаточно ограничиться значениями
s на мнимой оси. При![]()

.
Таким образом, для рассматриваемой функции условие положительности соблюдается на мнимой оси, а следовательно, и во всей правой полуплоскости. Заметим, что это условие не всегда выполняется для функций, нули и полюсы которых находятся только в левой полуплоскости. Например, функция
имеет при s = jw
вещественную часть
, принимающую отрицательные значения при
. Отсюда следует, что такая функция
F(s) нереализуема, т. е. не существует пассивной цепи с подобным сопротивлением или проводимостью.
При работе в режиме изучения теоретического материала вернитесь назад к тексту Лекции 22.