Тема 14. РАСЧЕТ ПЕРЕХОДНОГО ПРОЦЕССА В ЦЕПИ ВТОРОГО ПОРЯДКА С ПОМОЩЬЮ ИНТЕГРИРОВАНИЯ УРАВНЕНИЙ СОСТОЯНИЯ (задачи с решением)
Перейти к задачам без решения
|
Задача 14.1. Рассчитать переходный процесс в цепи, изображенной на рис. П14.1, а при следующих численных значениях параметров: R1 = 300 Ом; R2 = R4 = 200 Ом; R3 = 400 Ом; L = 0,1 Гн; C = 10 мкФ; J0 = 210 мА. a) б) Рис. П14.1 |
Для составления уравнений состояния цепи методом эквивалентных источников заменим динамические элементы — катушку источником тока, а конденсатор — источником ЭДС.
В результате получим резистивную цепь, изображенную на рис. П14.1, б. Следует обратить внимание на направления источников — они соответствуют исходно принятым направлениям отсчета токов iL и напряжений uC, указанным на рис. П14.1, а.
В этом же направлении отсчитывают напряжения uL и токи iC. В рассматриваемой схеме надо выразить напряжение uL и ток конденсатора iC через параметры ее элементов. Простая структура цепи позволяет воспользоваться принципом наложения, при котором воздействие отдельных источников на всю цепь анализируют при исключении остальных источников:



.
Анализ отдельных частных режимов работы этой цепи приводит к очень простым результатам. Так, при действии источника J = iL (и закороченном источнике e = - uC и разомкнутом J0) резисторы R2 и R3 соединены параллельно, так же, как и пара R1, R4, а между собой эти две пары резисторов включены последовательно. При действии только ЭДС e = - uC (J = iL и J0 разомкнуты) имеем последовательно включенные R2 и R3 и параллельно с ними — последовательное соединение R1 и R4. При закороченном источнике e = - uC и разомкнутом J = iL ток источника J0 разветвляется между параллельно включенными R1 и R4, а R2 и R3 в этом частном режиме закорочены. Для приведения полученной системы к нормальному виду уравнений состояния достаточно разделить оба уравнения на L и C.
При подстановке численных значений параметров в уравнения состояния последние принимают вид:

Определим начальные значения переменных состояния. Поскольку в режиме до коммутации — при разомкнутом ключе — постоянный ток источника J0 протекает через индуктивность L и сопротивление R2 (ток через конденсатор не проходит, и сопротивления R3 и R4 шунтируются катушкой, напряжение на которой равно нулю), то iL(0) = J0 = 210 мА. В рассматриваемом режиме напряжение на конденсаторе uC(0) равно падению напряжения на резисторе R2: uC(0) = J0R2 = 42 В.
Так как в цепи действует постоянный источник J0, то частные решения iL' и uC' найдем из анализа режима, который установится в цепи после окончания переходного процесса — при t ® ¥ токи в резисторах R3 и R4 также не протекают, однако теперь ток источника делится между сопротивлениями R1 и R2, которые с учетом нулевого напряжения на катушке можно считать включенными параллельно. Через катушку и резистор R2 в этом режиме протекает доля общего тока, равная iL' = i2 = J0R1/(R1 + R2) = 126 мА. Напряжение на конденсаторе равно напряжению на R2: uC' = i2R2 = 25,2 В.
Решение записанной системы относительно тока iL будем искать в виде суммы частного решения неоднородной системы iL' и общего решения однородной системы
![]()
Для определения корней l1, 2 составим характеристическое уравнение. Используем однородную систему

После подстановки в нее экспоненциальных частных решений iL" = b1"elt, uC"= b2"elt, дифференцирования и приведения подобных членов получим систему однородных алгебраических уравнений
![]()
Она имеет нетривиальное решение при равенстве нулю главного определителя

Заметим, что этот определитель легко записать непосредственно на основе системы уравнений состояния, опуская в них свободные члены f1, 2, заменяя производные по времени на множители l и перенося соответствующие члены в правую часть.
Раскрывая определитель, запишем характеристическое уравнение
![]()
или

Решая это квадратное уравнение, получим l1 = – 400; l2 = – 2500. С учетом численного значения частного решения iL' = 0,126 А общее решение для тока iL будет иметь вид:
![]()
Для определения постоянных A1 и A2 воспользуемся начальными условиями — значениями тока iL(0) и его производной diL/dt(+ 0). Производную найдем из первого уравнения исходной системы: при подстановке найденных ранее значений iL(0) и иC(0) в правую часть получим 0,1 (diL/dt)(+ 0) = – (760/3)·0,21+(4/15)·42 + 25,2, откуда diL/dt(+ 0) = – 168.
Дифференцируя общее решение для iL, получим два уравнения для постоянных:

Решая эту систему, найдем A1 = 0,02; A2 = 0,064. Окончательно получим
![]()
Для определения остальных значений токов и напряжений в рассматриваемой цепи нет необходимости снова решать определяющие их дифференциальные уравнения: подстановка найденного выражения для iL в первое уравнение состояния позволяет определить uC. Токи и напряжения цепи, не являющиеся переменными состояния, выражаются через iL и uC с помощью алгебраических соотношений, вытекающих из законов Кирхгофа и компонентных уравнений резистивных ветвей.
При работе в режиме изучения теоретического материала вернитесь назад к тексту Лекции 17.
|
Задача 14.2. Получить для цепи, рассмотренной в предыдущей задаче непосредственным интегрированием уравнений состояния (см. рис. П14.1, а), решение с помощью матричной экспоненты. |
Перепишем систему уравнений состояния в матричной форме, разделив первое уравнение на L, а второе — на С:

Запишем численные значения вектора переменных состояния при t = 0 и t = ¥ и их разность:

Решение получим с помощью матричной формулы (см. п. 17.2). Для нахождения аналитического выражения матричной экспоненты еAt определим сначала корни характеристического уравнения — собственные числа матрицы А: det [А – l 1] = 0. После подстановки численных значений это уравнение принимает вид
.
Раскрывая записанный определитель, получим характеристическое уравнение

или
![]()
Решая это квадратное уравнение, найдем: l1 = – 400; l 2 = – 2500.
Используя соотношения для матричной экспоненты, приведенные в Приложении 3 для вещественных простых корней, после алгебраических преобразований имеем:

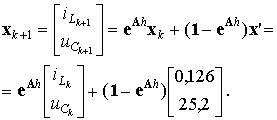
Вектор переменных состояния получим, подставляя это выражение в формулу (17.1)

После перемножения и приведения подобных членов окончательно получим

Для вычисления последовательности значений х(t) с постоянным шагом Dt = h по времени можно воспользоваться матрицей перехода еAh

При шаге D t = h = 0,001 с элементы матрицы перехода имеют значения:

Подставляя численные значения в разностное уравнение, получим
=
+
,
или после перемножения
=
При работе в режиме изучения теоретического материала вернитесь назад к тексту Лекции 17.
|
Задача 14.3. Решить уравнения состояния цепи, изображенной на рис. П14.1, а, полученные в Задаче 14.1, с помощью численного интегрирования. |
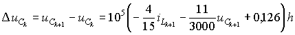
Применение явного метода Эйлера к полученным ранее уравнениям состояния (Задача 14.1) сводится к последовательному вычислению приращений переменных состояния:
;
.
При
используют начальные значения переменных
,
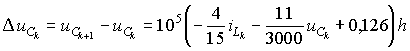
. Схема неявного метода Эйлера
;

Эту систему можно записать в виде:
;
.
Аналогичный вид имеет и система, подлежащая решению при применении метода трапеций.
Результаты интегрирования рассматриваемых уравнений описываемыми методами с шагом
c приведены в табл. 14.1. Сюда же включены результаты аналитического расчета по формулам, приведенным в задаче 14.2. Результаты расчета показывают, что при выбранном шаге интегрирования любой из рассматриваемых методов дает результаты, весьма близкие к аналитическому решению. При этом за время
, т.е. за тысячу шагов интегрирования практически достигается установившийся режим.
Таблица 14.1
|
|
Явный метод Эйлера |
Неявный метод Эйлера |
Метод трапеций |
Аналитическое решение |
||||
|
|
|
|
|
|
|
|
|
|
|
0,002 |
32.381 |
0,13537 |
32,407 |
0,13546 |
32,395 |
0,13542 |
32,395 |
0,13542 |
|
0,004 |
28,418 |
0,13002 |
28,442 |
0,13006 |
28,431 |
0,13004 |
28,430 |
0,13004 |
|
0,006 |
26,643 |
0,12780 |
26,659 |
0,12782 |
26,652 |
0,12782 |
26,651 |
0,12781 |
|
0,008 |
25,847 |
0,12681 |
25,857 |
0,12682 |
25,853 |
0,12682 |
25,852 |
0,12682 |
|
0.010 |
25,490 |
0,12636 |
25,496 |
0,12637 |
25,493 |
0,12637 |
25,493 |
0,12637 |
При работе в режиме изучения теоретического материала вернитесь назад к тексту Лекции 18.