Тема 9. ЦЕПИ С ИНДУКТИВНО СВЯЗАННЫМИ ЭЛЕМЕНТАМИ
(задачи с решением)
Перейти к задачам без решения
|
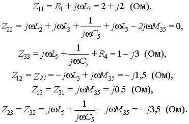
Задача 9.1. Рассчитать методом контурных токов распределение токов в цепи (рис. П9.1) c индуктивно связанными элементами (см. п. 9.2 теоретического материала) при числовых данных: E = 10 В, R1 = wL2 = wL3 = wL5 = 2 Ом, wM35 = 0,5 Ом, 1/wC5 = 5 Ом, R4 = 1 Ом.
Рис. П9.1 |
Выберем независимые контуры — их три — и укажем направления контурных токов в них (рис. П9.1). Система трех контурных уравнений имеет общий вид:

Наличие индуктивной связи между катушками L3 и L5 учитывается в собственных и общих сопротивлениях контуров следующим образом: в сопротивление Z22 войдет составляющая j2wM35, поскольку обе индуктивно связанные катушки L3, L5 входят во второй контур. Составляющая j2wM35 войдет в Z22 со знаком “минус”, так как ток
ориентирован относительно маркированных зажимов катушек L3 и L5 по-разному. В общие сопротивления Z12 = Z21, Z13 = Z31, Z23 = Z32 составляющая jwM35 входит, поскольку контур из любой их пары (1 – 2, 1 – 3, 2 – 3) содержит катушку, индуктивно связанную с катушкой, принадлежащей другому контуру этой пары.
Обратите внимание, что, хотя 1-й и 3-й контуры не имеют общих ветвей, но Z13 № 0 за счет составляющей jwM35. Знак составляющей jwM35 определяется так: если оба контурных тока в соответствующих катушках ориентированы одинаково относительно маркированных зажимов, jwM35 входит со знаком “плюс” (в Z12 и Z13), в противном случае со знаком “минус”.
С учетом сказанного контурные сопротивления имеют вид:

Контурные ЭДС равны:
= 10 В,
= 0,
= 0.
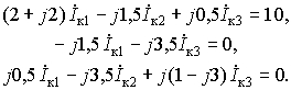
После подстановки числовых значений система уравнений принимает форму:

Решение этой системы дает:
= 3,76 – j1,76 ,
= 2,13 – j0,44 ,
= – 1,61 + j0,75 . Токи в ветвях находятся по рассчитанным контурным токам. Для указанных на рис. П9.1 направлений токов в ветвях имеем:
,
,
,
.
Напряжения на индуктивно связанных катушках равны
В
и
В.
Их сдвиг по фазе относительно соответствующих токов отличается от 90° вследствие индуктивного влияния катушек друг на друга: для L3 он составляет 94°, а для L5 — лишь 57°.
При работе в режиме изучения теоретического материала вернитесь назад к тексту Лекции 9.
|
Задача 9.2. Определить эквивалентные параметры цепи с индуктивно связанными катушками, изображенной на рис. 9.8. |
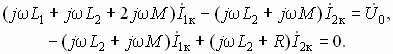
Используя выражения контурных сопротивлений цепи, полученные в
п. 9.2, и учитывая, что контурные ЭДС равны:
запишем систему контурных уравнений цепи в развернутой форме:

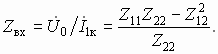
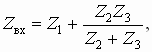
Эквивалентное входное сопротивление цепи определяется как отношение входного напряжения
к входному току
:

Подстановка указанных значений контурных сопротивлений после преобразований приводит к окончательному результату:


Рис. П9.2
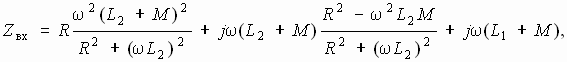
Другой способ решения задачи основан на замене индуктивно связанных катушек Т-образной схемой замещения, не содержащей индуктивных связей (см. п. 9.2). Однако поскольку в данном случае общим является один маркированный а другой немаркированный зажимы катушек, знаки у взаимных индуктивностей в ветвях эквивалентной схемы следует заменить на противоположные. В результате приходим к схеме, показанной на рис. П9.2. Применяя к ней обычные правила сложения последовательных и параллельных ветвей, получим выражение для ее входного сопротивления:

где Z1 = jω(L1 + M), Z2 = jω(L2 + M), Z3 = R - jωM. Разделяя во втором слагаемом этого выражения вещественную и мнимую части, придем к результату:

что, как нетрудно проверить, тождественно полученному выше методом контурных токов.
При работе в режиме изучения теоретического материала вернитесь назад к тексту Лекции 9.
Конец