Приложение 2
Связи между параметрами биполярного транзистора при различных схемах включения
Пересчет малосигнальных H-параметров биполярного транзистора, известных для схемы с общим эмиттером Hэ, (рис. 14.3, а) к схемам включения с общей базой Hб (рис. 14.3, б) или общим коллектором Hк (рис. 14.3, в), осуществляется следующим образом. Оба четырехполюсника, изображенные на рис. 14.3, а,б, описываются системами гибридных уравнений, которые в матричной форме имеют вид:

Токи и напряжения в обеих системах связаны соотношениями:

Направление последних токов принято от соответствующего зажима внутрь транзистора. Это позволяет выразить напряжения и токи первой схемы через величины, описывающие вторую схему, следующим образом:

Подставим полученные соотношения в систему гибридных уравнений для схемы с общим эмиттером

Выполняя матричное умножение, получим в развернутой форме:

После приведения подобных членов последняя система принимает вид:

или

Решение этой системы относительно
и
запишем, используя матрицу, обратную к матрице коэффициентов левой части уравнения:

где
—
определитель обращаемой матрицы.
Окончательно имеем

Сопоставление этих уравнений с гибридной системой схемы с общей базой приводит к равенству

Для Hэ-параметров имеют место соотношения H12 << 1; H11H22 << 1, и последние формулы можно привести к более простому виду, опуская малые члены:

Поскольку величина H21э обычно имеет порядок нескольких десятков, то из этих соотношений следует, в частности, что входное сопротивление транзистора при включении с общей базой существенно меньше, чем в схеме с общим эмиттером. Выходное сопротивление 1/H22, наоборот, существенно больше в схеме с общей базой. Усиление тока в режиме короткого замыкания H21б отрицательно и по модулю меньше единицы.
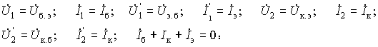
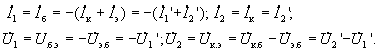
Аналогично получаются пересчетные формулы и для схемы с общим коллектором. В этой схеме входные и выходные величины выражаются следующим образом (рис. 14.3, в):
;
;
;
. Поэтому напряжения и токи схемы с общим эмиттером можно представить как
![]()
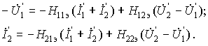
Подстановка этих соотношений в систему уравнений с общим эмиттером приводит ее к виду:
![]()
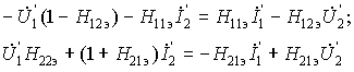
или после приведения членов:
![]()
Отсюда следуют выражения для H-параметров схемы с общим коллектором:
![]()