14.1. ХАРАКТЕРИСТИКИ И МАЛОСИГНАЛЬНЫЕ ПАРАМЕТРЫ БИПОЛЯРНОГО ТРАНЗИСТОРА
При описании транзистора как четырехполюсника один из его трех выводов базы, коллектора или эмиттера является общим для входного и выходного контуров. В наиболее распространенной схеме с общим эмиттером (рис. 14.1) напряжения двух других выводов отсчитываются относительно эмиттера входным является напряжение между базой и эмиттером uб.э, выходным напряжение uк.э между коллектором и эмиттером; соответственно входным током является ток базы iб, выходным ток коллектора iк. При указанных на рис. 14.1 направлениях отсчета токов и напряжений входные и выходные напряжения у транзисторов npn-типа положительны, для транзисторов pnp-типа они отрицательны. Остальные свойства обоих типов транзисторов идентичны.

Рис. 14.1
Связи между напряжениями и токами транзистора
uб.э = f1(iб, uк.э);
iк= f2(iб, uк.э)
имеют нелинейный характер и выражаются семейством входных (рис. 14.2, а) и выходных (рис. 14.2, б) характеристик.

Рис. 14.2
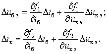
Однако во многих транзисторных устройствах, например в усилителях, необходимо обеспечить пропорциональность изменения входных и выходных сигналов. Несмотря на нелинейность характеристик, это возможно при малых переменных составляющих токов Di(t) и напряжений Du(t), которые накладываются на относительно большие постоянные составляющие i0, u0 в рабочей точке A, создаваемые отдельными источниками питания, включенными в цепь. Для описания малых отклонений токов i = i0 + Di и напряжений u = u0 + Du от их значений в рабочей точке (Di << i0, Du << u0) возможна линеаризация характеристик в окрестности рабочей точки; тогда рассматриваемые отдельно малые сигналы Du и Di связаны линейными соотношениями:

Для синусоидальных сигналов эти уравнения можно записать в комплексной форме, используя индексацию входных и выходных величин, принятую в теории четырехполюсников:
Duб. э =
;
Duк э =
;
Diб = İ1;
Diк = İ2:
![]()
Отсюда следует, что частные производные, выражающие связи между малыми сигналами, представляют соответствующие H-параметры транзистора (малосигнальные парaметры). При рассмотрении малосигнального режима в окрестности фиксированной рабочей точки эти параметры они являются постоянными.
Из приведенных соотношений следует и способ определения гибридных параметров транзистора. В режиме короткого замыкания на выходе для переменной составляющей
или постоянства выходного напряжения
uк. э = uк. э0 = const определяются параметры:
,
где Diб" = iб1- iб0 (см. рис. 14.2, б).
Выходная проводимость H22 определяется в режиме холостого хода на выходе для
или iб = const:

Приведенные соотношения используют для графического определения в по характеристикам транзистора, где соответствующие частные производные заменяются отношениями приращений соответствующих величин в окрестности рабочей точки (см. рис. 14.2), или измерения переменных составляющих токов и напряжений при постоянстве значений uк. э либо iб.
Невысокая точность графического метода не позволяет найти малый параметр H12, имеющий небольшое значение (примерно 10–3 – 10–4). Поэтому его либо принимают равным указанному значению, либо вообще пренебрегают этой величиной, полагая H12 = 0.
Поскольку входное сопротивление биполярного транзистора относительно невелико, а выходное, наоборот, значительно, точные результаты измерений можно получить лишь в режимах короткого замыкания на выходе и холостого хода на входе. Это и является основной причиной использования гибридной системы уравнений четырехполюсника для описания биполярного транзистора H-параметры определяются именно в этих режимах.
При использовании схем с общей базой и общим коллектором (рис. 14.3, б,в) возникает задача пересчета малосигнальных параметров транзистора, известных для одной схемы включения, к параметрам другой схемы.

Рис. 14.3
Связи между параметрами при различных схемах включения приведены в Приложении 2.