28.3. РЕШЕНИЕ УРАВНЕНИЙ НЕЛИНЕЙНЫХ РЕЗИСТИВНЫХ ЦЕПЕЙ
Составленные уравнения нелинейной резистивной цепи представляют систему нелинейных функциональных уравнений (алгебраических или трансцендентных в зависимости от класса функций, описывающих нелинейные характеристики).
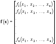
В общем виде такая система может быть записана в форме
fj(x1, x2,..., xm,..., xn) = 0, j = 1, 2,..., n,
где xm искомые токи и напряжения. Основным способом решения таких систем является процесс последовательных приближений, наиболее быструю сходимость которого обеспечивает применение метода Ньютона.
Итерационная процедура метода базируется на уточнении приближенного решения, полученного на k-ой итерации, путем линеаризации функции f(x) в окрестности решения аппроксимации ее начальным отрезком ряда Тейлора.
В случае одного уравнения
такая линеаризация дает:
,
что приводит к следующей итерационной схеме:
;
.
Эта схема обобщается на случай многих переменных с помощью матричного аппарата. Исходная система имеет форму: f(x) = 0, где
;
вектор неизвестных.
Запишем схему многомерного метода Ньютона в матричной форме:
,
где J(x) матрица Якоби,
.
Однако реализация изложенного метода часто наталкивается на существенные трудности. Его сходимость существенно зависит от выбора начального приближения; при неудачном выборе итерационный процесс может оказаться расходящимся. Он требует значительного объема вычислений, повторяемых на каждом шаге, вычисления частных производных ¶fj/ ¶xi, обращения матрицы Якоби. При достаточно гладких функциях fj эту процедуру можно выполнять в цикле через несколько итераций, сохраняя в течение цикла элементы обратной матрицы неизменными.
Отмеченные проблемы приводят к тому, что наряду с методом Ньютона применяют и более простые методы, не требующие дифференцирования и обращения матрицы, хотя и обладающие более медленной сходимостью. Одним из них является метод простой итерации, для применения которого матричная система уравнений приводится к явному представлению искомых величин
x = F(x);
итерации осуществляются по схеме
x(k + 1) = F(x(k)),
т. е. следующее приближение непосредственно выражается через полученное на предыдущем шаге. Сходимость этого метода также не всегда гарантирована и требует специального исследования, однако в простых задачах он может приводить к решению быстрее чем метод Ньютона.
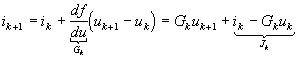
Заложенную в методе Ньютона идею линеаризации приращений искомых величин можно перенести на линеаризацию характеристик нелинейных элементов. Это ведет к аппроксимации на каждой итерации характеристик нелинейных элементов линейными отрезками, равносильной линеаризации цепи замене нелинейных элементов линейными. Поскольку параметры линеаризованной схемы пересчитывают на каждой итерации, то такие схемы называют дискретными линеаризованными схемами.
Для нелинейного элемента, имеющего характеристику i(u) = f(u), линеаризация на k-го отрезка характеристики приводит к соотношению
.
Таким образом, дискретная линеаризованная схема рассматриваемого элемента включает параллельно соединенные проводимости Gk = di/du(uk) и источник тока Jk = ik – Gkuk (рис. 28.4), параметры которых находят по значениям тока и напряжения на элементе (ik и uk), полученным на k-й итерации в результате расчета всей цепи.

Рис. 28.4
При переходе к следующей итерации Gkи Jk пересчитывают и заменяют на Gk+1 и Jk+1. Аналогично аппроксимируются характеристики элементов, управляемых током u(i) = f(i):
,
которым соответствует дискретная линеаризованная схема, изображенная на рис. 28.5. Разумеется, не являются единственными, так как допускают взаимные преобразования источников тока и ЭДС.
Замена нелинейных резисторов цепи их дискретными эквивалентами приводит к линейной цепи, в которой можно применять все известные методы расчета таких цепей. После определения ik+1 и uk+1 их используют для пересчета параметров цепи и осуществления следующей итерации.
|
Рис. 28.5 |
Ускорению расчета способствует кусочно-линейная аппроксимация характеристик нелинейных элементов. При такой аппроксимации не требуется пересчета дискретных параметров данного нелинейного элемента, пока соответствующие ему значения тока и напряжения в ходе итераций не вышли за пределы данного отрезка ломаной. |
Однако при кусочно-линейной аппроксимации возможно зацикливание итерационного процесса. Поясним это на примере решения одного нелинейного уравнения f(x) = 0. Графическая иллюстрация применения метода Ньютона в окрестности решения x = x0 и соответственно дискретных линеаризованных схем приведена на рис. 28.6, а,б. При кусочно-линейной аппроксимации функции f(x) (рис. 28.6, б) постоянство производных f '(x) на отрезках ломаной a и c приводит к тому, что процесс итераций зацикливается на значениях x2 и x3, и его сходимость к решению теряется. В то же время применение метода Ньютона к исходной задаче с нелинеаризованной функцией f(x) приводит к искомому решению (рис. 28.6, а).

Рис. 28.6