25.3. ЛИНИЯ БЕЗ ПОТЕРЬ В РАЗЛИЧНЫХ РЕЖИМАХ РАБОТЫ
Для линии без потерь при a = 0, g = jb соотношения для тока и напряжения вдоль линии можно представить в виде:
![]()
Выразим
и
через токи и напряжения в конце линии
и
. Для этого заменим в последних соотношениях величины с индексом “1” на величины с индексом “2” и изменим отсчет расстояний от начала
x на (– x'); координату x' отсчитывают от конца линии (x' = l – x). Такая замена приводит соотношения к виду:
![]()
При x' = l отсюда получим значения напряжения и тока в начале линии. Входное сопротивление линии без потерь, следовательно, можно выразить как

или с учетом соотношения выходных величин
![]()

Рассмотрим режимы работы линии, отличающиеся характером сопротивления нагрузки.
1. Режим согласованной нагрузки (Zн = Z,
). Подставляя эти выражения в соотношения для напряжения и тока, получим:
![]()
![]()
Отсюда следует, что при согласованной нагрузке напряжение и ток в линии без потерь имеют постоянную амплитуду по всей длине. Входное сопротивление Zвх такой линии равно ее волновому сопротивлению Z, и не зависит от длины линии.
2. Режим холостого хода (
). Для комплексных напряжений и тока имеем:
![]()

В рассматриваемом режиме напряжение и ток во всех точках линии имеют одинаковую фазу. Действительно, для мгновенного значения напряжения при холостом ходе получим
. Согласно этому соотношению, напряжение во всей линии изменяется синфазно. Эти колебания представляют собой так называемые стоячие волны. На рис. 25.4 изображено распределение действующих токов и напряжений для случая, когда
bl = 2p, т. е. длина линии
l равна длине волны l.

Рис. 25.4
Поскольку в отдельных точках линии, как следует из рисунка, напряжение сохраняет нулевое значение, то по линии в целом отсутствует передача мощности.
Входное сопротивление разомкнутой на конце линии Zвх = – jZ ctg bl имеет место чисто реактивный характер (волновое сопротивление Z линии без потерь — вещественная величина). В зависимости от длины линии входное сопротивление может иметь как емкостный (например, при 0 < bl < p/2), так и индуктивный характер (p/2 < bl < p). Если длина разомкнутой на конце линии l равна четверти длины волны (bl = p/2), то ее входное сопротивление равно нулю.
3. Режим короткого замыкания (
). Распределение комплексных напряжения и тока выражается формулами:
![]()
![]()
И в этом случае в линии наблюдаются стоячие волны, однако теперь узел напряжения расположен в конце линии (рис. 25.5), а распределение тока в этой точке имеет пучность.

Рис. 25.5
Как и при холостом ходе, передача энергии по линии в целом в этом режиме отсутствует. Для входного сопротивления из общей формулы получим Zвх =jZ tg bl. Оно также имеет чисто реактивный характер и в зависимости от длины линии может быть индуктивным или емкостным.
Сопоставляя оба рассмотренных режима (х. х. и к. з.), можно заключить, что соотношение между входными сопротивлениями в обоих режимах существенно зависит от волновой длины линии l/l = bl/2p. При l/l <1/8 (bl < p/4) имеем ½Zвх. к.з.½ < ½ Zвх. х.х.½, однако при p/4 < bl < p/2 это неравенство изменяется на обратное; для четвертьволновой линии (bl = p/2) Zвх. х.х. = 0, а Zвх. к.з. = ¥. Этот парадоксальный результат объясняется тем, что при холостом ходе в начале линии имеем узел напряжения, а при коротком замыкании — узел тока.
4. При нагрузке линии на емкость или индуктивность с реактивным сопротивлением Xн выходные величины связаны соотношением U2 = jXн I2. Его подстановка в соотношения для напряжения и тока позволяет записать их в виде:


Поскольку реактивное сопротивление нагрузки Xн вещественно, то отсюда вытекает, что и при нагрузке линии без потерь на емкость или индуктивность фаза напряжения и тока во всех точках линии одинакова. Таким образом, и в этом режиме в линии наблюдаются стоячие волны тока и напряжения.
Для более ясного представления о
характере распределения преобразуем
полученные выражения, используя
представление параметра Z/Xн =
tgs. Элементарные тригонометрические
преобразования позволяют привести
рассматриваемые формулы к виду
.
Эти выражения показывают, что, как и в рассмотренных
выше случаях, распределение действующих
токов и напряжений имеет синусоидальный
характер (см. рис. 25.4), однако в отличие от режимов холостого хода и короткого замыкания в конце линии нет ни узла, ни пучности.
Положение узлов и пучностей легко
определяется из последних выражений.
5. Нагрузка линии на активное сопротивление. В этом случае условие на конце линии
позволяет привести выражения для напряжения и тока к виду:


Распределение действующих значений определяется модулями этих величин:
;
Эти выражения определяют функции, периодические по координате х' с периодом, равным половине длины волны
l/2, не обращающиеся в нуль ни при каких значениях
x'. Анализ показывает, что эти функции имеют экстремумы при cos bx' = 0 и sin bx' = 0. Соответственно
U = U2 и U = U2/r. В зависимости от соотношения
одна из этих величин представляет максимум, а вторая минимум кривой
U(x'). Аналогичный вид имеет и кривая
I(x') (рис. 25.6). Такой характер распределения определяется наложением прямой волны и обратной волны, отраженной от несогласованной нагрузки.

Рис. 25.6
Неравномерность распределения напряжения вдоль линии выражена тем сильнее, чем дальше от условия согласования r = 1 находится сопротивление нагрузки. Количественно эта неравномерность характеризуется коэффициентом бегущей волны kб. в = Umin/Umax. При согласованной нагрузке (Rн = Z) отраженная волна отсутствует, и по линии распространяется лишь прямая бегущая волна имеем kб. в = 1 (см. п. 1). По мере удаления от режима согласованной нагрузки возрастает роль отраженной волны, усиливающей неравномерность распределения напряжения и тока вдоль линии. Как при уменьшении, так и при увеличении сопротивления нагрузки режим приближается либо к короткому замыканию, либо к холостому ходу, в которых наблюдаются стоячие волны, и kб. в = 0 (пп. 2 – 4).
Входное сопротивление нагруженной линии без потерь. В режиме стоячих волн (при холостом ходе, коротком замыкании и реактивной нагрузке) входное сопротивление линии без потерь является чисто мнимым. Это понятно, так как линия в этих режимах не расходует энергии, и ее входное сопротивление будет чисто реактивным. Его индуктивный, либо емкостный характер определяется волновой длиной линии — параметром bl = 2pl/l и характером нагрузки.
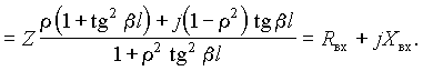
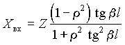
При активной нагрузке линии Zн = Rн ее входное сопротивление имеет комплексный характер. Из общей формулы для Zвх следует


Вещественная часть Rвх =
> 0 определяет энергию, потребляемую нагруженной линией от источника; мнимая часть
в зависимости от соотношения между параметрами
bl и r может иметь как положительный, так и отрицательный знак.
Четвертьволновая линия. Входное сопротивление четвертьволновой линии (bl = p/2, l = l /4) независимо от других условий Zвх = Z2/Zн. Отрезок такой линии можно использовать в качестве элемента, согласующего выходное сопротивление источника и Zг и нагрузки Zн (рис. 25.7).

Рис. 25.7
Согласование будет обеспечено при выполнении условия
Zг = Zвх = Z2/Zн, или
Z=
. Короткозамкнутые отрезки линии с
l = l
/4, имеющие Zвх = ¥, можно использовать для крепления проводов высокочастотных линий вместо изоляторов, емкость которых на высоких частотах вносит искажения в передачу сигнала.