24.1. ХАРАКТЕРИСТИКА ЗАДАЧ СИНТЕЗА ЭЛЕКТРИЧЕСКИХ ЦЕПЕЙ
При синтезе электрической цепи решают задачу, обратную задаче анализа (рис. 24.1, а) определяют структуру цепи и параметры ее элементов по заданным токам или напряжениям на входах и выходах цепи. Исходные величины входные и выходные сигналы (токи или напряжения) заданы либо в форме временных зависимостей f1(t) и f2(t) либо в виде их Фурье-изображений F(jw) или изображений по Лапласу F(s) (рис. 24.1, б). Таким образом, синтез позволяет определить вид электрической цепи, осуществляющей преобразование сигналов по заданному закону.

Рис. 24.1
В технике автоматического управления, при проектировании информационно-измерительных систем и устройств связи применяют корректирующие звенья четырехполюсники, которые включают в систему, чтобы обеспечить заданное изменение ее частотных характеристик. Таким образом, определение корректирующего звена по его частотной характеристике сводится к синтезу четырехполюсника. Аналогично можно сформулировать задачу синтеза частотного фильтра.
Более общая задача синтеза четырехполюсника состоит в нахождении его структуры и параметров по заданной матрице сопротивлений
![]()
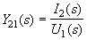
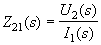
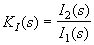
или проводимостей Y(s) = Z-1(s). Однако чаще рассматривают задачу синтеза четырехполюсника по одной из его передаточных функций:
;
;
;
.
Если входная и выходная величины ток и напряжение относятся к одной и той же паре зажимов цепи, то искомая цепь является двухполюсником. При синтезе двухполюсника искомая цепь описывается операторным входным сопротивлением Z(s) = U(s)/I(s), проводимостью Y(s) = I(s)/U(s), или их частотной зависимостью Z(jw), Y(jw) (рис. 24.1, в).
Для задач синтеза, в отличие от задач анализа, характерна неоднозначная разрешимость и зависимость существования решения от исходных данных. Для того чтобы задача синтеза имела решение, заданная функция цепи F(s) [входная функция двухполюсника Z(s), Y(s) или передаточная функция четырехполюсника K(s)] должна удовлетворять определенным условиям условиям реализуемости. Для входной функции таковыми являются условия положительности и вещественности (см. лекцию 22). Поэтому первый этап решения задачи синтеза состоит в проверке выполнения этих условий реализуемости для исходной функции F(s).