21.6. ЦИФРОВЫЕ ФИЛЬТРЫ, ИХ РАЗНОСТНЫЕ УРАВНЕНИЯ, ПЕРЕДАТОЧНЫЕ ФУНКЦИИ И ИМПУЛЬСНЫЕ ХАРАКТЕРИСТИКИ
Цифровой фильтр описывается тремя характеристиками разностным уравнением, которому может быть поставлена в соответствие передаточная функция K(z) или полученная в результате обратного z-преобразования K(z) его дискретная импульсная характеристика h[k]. Из приведенных примеров следует, что существуют два принципиально различных класса цифровых фильтров. Фильтры первого класса нерекурсивные описываются разностным уравнением, в котором выходная величина y[k] выражается только через конечное число значений входного сигнала x[n]. Таким, например, является уравнение усреднения, рассмотренное выше.
Фильтры второго класса рекурсивные описываются уравнением, в котором выходная переменная y[k] выражается не только через значения входного сигнала x[n], но и через предшествующие значения выходного сигнала y[k – m]. Сюда, например, относится разностное уравнение u2[k + 1] = u2[k ] e-T/t + u1[k ][h(T) – h(T – Tи)], описывающее преобразование прямоугольных сигналов RС-цепью (см. п. 20.4), а также дискретные модели любых других аналоговых динамических систем (в частности, электрических цепей).
Нерекурсивный цифровой фильтр сохраняет информацию о входном сигнале за конечное число шагов его импульсная характеристика конечна, а передаточная функция имеет вид ряда по степеням z (который включает и отрицательные показатели).
Информация, поступившая на вход рекурсивного фильтра, сохраняется в нем бесконечно долго; он имеет бесконечную по длительности импульсную характеристику и описывается передаточной функцией в виде рациональной дроби. Максимальная разность индексов переменных в разностном уравнении, который отвечает разность степеней z в числителе и знаменателе передаточной функции, определяет порядок цифрового фильтра.
Так, нерекурсивный цифровой фильтр второго порядка описывается разностным уравнением f2[n] = a0f1[n] + a1f1[n – 1] + a2f1[n – 2], его передаточная функция K(z) = a0 + a1z–1 + a2z–2, а импульсная характеристика определяется коэффициентами, h[n] = a0, a1, a2, 0, 0, 0, 0, ...
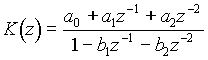
Рекурсивный цифровой фильтр второго порядка описывается разностным уравнением f2[n] = a0f1[n] + a1f1[n – 1] + a2f1[n – 2] + b1f2[n – 1] + b2f2[n – 2],
а его передаточная функция
.
По известным значениям коэффициентов разностного уравнения ak и bk цифровой фильтр 2-го порядка может быть реализован с помощью умножителей, сумматоров и блоков задержки.

Рис. 21.10
Блок-схемы цифровых фильтров обоих классов 2-го порядка, включающие перечисленные блоки, показаны на рис. 21.10 (а – нерекурсивный; б – рекурсивный).