17.1. НЕПОСРЕДСТВЕННОЕ ИНТЕГРИРОВАНИЕ УРАВНЕНИЙ СОСТОЯНИЯ
Метод непосредственного интегрирования, использованный при расчете переходных процессов в простейших цепях (Лекция 15, пп.15.2,3,5), основан на определении постоянных интегрирования в общем решении дифференциального уравнения путем решения системы уравнений, выражающих искомую величину и ее младшие производные при t = 0. Этот метод целесообразно применять к уравнениям невысокого порядка при достаточно простом законе изменения действующих в цепи источников f(t) — постоянных во времени [f(t) = f0 = соnst], синусоидальных [f(t) = sin (w t + y)] и экспоненциальных [f(t) = еa t].
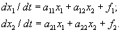
Ограничимся рассмотрением системы уравнений второго порядка, которая в развернутой форме имеет общий вид:
![]()
Определим переменную состояния х1.
Ее общее решение имеет вид суммы частного решения неоднородной системы
и общего решения однородной системы
:
![]()
Для перечисленных законов изменения внешних источников f(t) частные решения
и
находят в результате подстановки
в уравнения состояния выражений вида
;
, где
и
— константы; j(t) — функция, выражающая закон изменения внешних источников. Для цепи, находящейся под действием постоянных источников
j(t) = 1, при воздействии синусоидального источника с частотой
w частное решение определяют в виде
j(t) = А sin wt + В соs wt; для экспоненциального возбуждения цепи
j(t) = еat. Подстановка указанных частных решений в уравнения состояния приводит их к алгебраической системе, из которой находят константы
и
. Для случаев постоянного и синусоидального источников это частное решение определяется состоянием цепи после окончания переходного процесса. Его можно найти как из системы уравнений состояния указанным способом, так и непосредственно из анализа рассчитываемой цепи в установившемся режиме при
t ®
¥.
Общее решение однородного дифференциального уравнения второго порядка при различных корнях характеристического уравнения имеет вид
![]()
Для определения корней характеристического уравнения
l1,2 подставим в однородную систему (т. е. при
f1 = f2 = 0) ее экспоненциальные частные решения
;
. В результате дифференцирования и сокращения уравнений на еlt получаем однородную систему:
![]()
Она имеет нетривиальное решение при равенстве нулю главного определителя:
,
которое и представляет характеристическое уравнение
.
Его корни l 1 и l 2 являются собственными числами матрицы

В общем случае (п — любое) характеристическое уравнение записывается аналогично
![]()
После нахождения корней получим общее решение системы второго порядка для x1 в виде
![]()
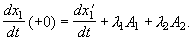
Для определения двух постоянных интегрирования A1 и A2 используют два начальных условия значения х1и dх1/dt при t = + 0. Значение х1(+ 0) определяют из анализа режима в рассматриваемой цепи до коммутации. Так как переменная состояния в момент коммутации непрерывна, то
![]()
Начальное значение производной dх1/dt найдем из первого уравнения состояния при t = + 0
![]()
Непрерывность переменных состояния позволяет найти их значения при t = 0, входящие в последнее выражение, из анализа цепи до момента коммутации. Производная dх/dt в общем случае не сохраняет непрерывности в момент коммутации. Поэтому ее значение при t = + 0 нельзя определить из рассмотрения цепи до коммутации (dх/dt(+0) ¹ dх/dt(– 0)). В результате подстановки найденных начальных значений в общее решение для x1 и его производную при t = 0 получим систему уравнений для определения постоянных интегрирования А1 и А2:
![]()
![]()
При расчете цепи, находящейся под действием постоянных источников, установившееся значение x'1
не зависит от времени, и производная в правой части второго уравнения равна нулю. Аналогично можно найти и вторую переменную состояния х2, для которой общее решение
.
Частное решение
было уже найдено, l
1 и l
2 также определены, а константы А3 и А4 определяют из системы, аналогичной системе для А1 и А2; они выражаются через начальные значения х2(0) и
dх2/dt(+ 0). Эти последние величины определяют так же, как и начальные условия для переменной х1.
Пример, иллюстрирующий применение указанного способа, дан в Задаче 14.1.
Изложенная схема принципиально не изменяется и при решении системы уравнений более высокого порядка (п > 2). Так, при произвольном п общее решение для любой из переменных состояния при отсутствии кратных корней характеристического уравнения включает п экспонент, отвечающих отдельных корням
![]()
Нахождение частного решения х' аналогично рассмотренному выше случаю. Однако для определения п постоянных интегрирования Ak теперь необходимо знать п начальных условий значения искомой переменной х(0) и ее (n – 1) производную при t = + 0. Если первая производная dх/dt непосредственно выражается через уравнения состояния, то производные более высоких порядков приходится находить последовательным дифференцированием уравнений состояния, в результате которого р-я производная d(p)х/dtp будет выражена через (р – 1)-е производные всех переменных состояния. Эта схема позволяет последовательно определить все производные d(p)х/dtp(+ 0), необходимые для нахождения Ak. Заключительный этап сводится к решению системы линейных алгебраических уравнений, подобных приведенной выше системе для определения A1 и А2:
![]()
Здесь под производной нулевого порядка (р = 0) понимается значение самой функции х(0). Очевидно, что изложенная схема решения при больших значениях п довольно громоздка, более эффективным оказывается решение с помощью матричной экспоненты, рассматриваемое ниже.