14.4. ТРАНЗИСТОР КАК УСИЛИТЕЛЬ ЭЛЕКТРИЧЕСКИХ СИГНАЛОВ
Рассмотрим усиление малых сигналов, подаваемых от источника синусоидального напряжения Ė0 на вход биполярного транзистора, нагруженного на комплексное сопротивление нагрузки Zн. Пренебрежем влиянием элементов цепи, обеспечивающих смещение транзистора, подачу на его зажимы постоянных напряжений, обеспечивающих режим в рабочей точке. Используя для биполярного транзистора схему замещения при H12 = 0 (см. рис. 14.5, а), придем к схеме, изображенной на рис. 14.8.

Рис. 14.8
Так как İ1 = Ė0/H11, а
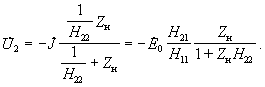
, то для напряжения на нагрузке, параллельно которой включено сопротивление 1/H22, будем иметь

Поскольку ток в нагрузке равен
;
то для коэффициентов усиления напряжения и тока получим

Предельное по модулю значение KU = KU max max соответствует значению Zн = ¥:
![]()
Максимальный ток в нагрузке, наоборот, получим при Zн = 0: KI max max= H21.
Схема для аналогичного анализа полевого транзистора изображена на рис. 14.9.

Рис. 14.9
Здесь напряжение на нагрузке

поэтому коэффициент усиления напряжения равен

Максимальное по модулю усиление напряжения имеем при
Zн = ¥, когда