11.5. РАСЧЕТ ЦЕПИ ПРИ ДЕЙСТВИИ НЕСИНУСОИДАЛЬНЫХ СИГНАЛОВ
Расчет реакции цепи на действие несинусоидального сигнала f1(t), схематически изображенный на рис. 11.8, сводится к
1) определению спектра входного сигнала коэффициентов F1(jwk) для периодического или спектральной плотности F(jw) для непериодического сигнала, которое осуществляется с помощью прямого преобразования Фурье (11.4) или (11.5).
2) Далее спектральные характеристики выходного сигнала F2(jw) находят умножением F1(jw) на передаточную функцию цепи:
F2(jw) = F1(jw) K(jw).
Если реакция цепи определяется на той же паре зажимов, к которой приложено возбуждение 1, 1', то используют входную проводимость Y(jw) или входное сопротивление Z(jw):
I1(jw) = U1(jw) Y(jw) или U1(jw) = I1(jw) Z(jw).
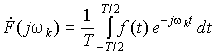
3) Затем для нахождения временной зависимости искомой величины f2(t) используют формулы обратного преобразования Фурье: (11.3) для периодического сигнала и (11.6) для непериодического.

Рис. 11.8
В качестве примера определим напряжение на выходе RC-цепи (рис. 11.9) при действии на ее входе периодической последовательности прямоугольных импульсов напряжения (рис. 11.3).

Рис. 11.9
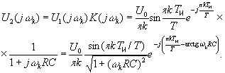
Заменяя в полученных ранее выражениях для коэффициентов Фурье F(jwk) такого сигнала обозначения на U1(jwk) = U0/pk sin (wkTи/2) e–jwkTи/T (U0 амплитуда входных импульсов) и используя выражение передаточной функции цепи на частотах спектра wk K(jwk) = 1/(1 + jwkRC), найдем для коэффициентов Фурье выходного напряжения U2(jwk):

Отсюда имеем для амплитуд его гармоник Ak

и начальных фаз yk

Постоянная составляющая выходного напряжения, как и входного, равна A0 = U0Tи/T.
Временные зависимости сигнала на выходе RC-цепи построены на рис. 11.10, а для двух значений безразмерного параметра RC/T = 0,02 (красная кривая) и RC/T = 0,5 (синяя кривая) при Tи/T = 0,5. Их сравнение показывает, что при малых RC/T, когда зарядка конденсатора под действием очередного импульса входного напряжения происходит быстро, формы кривых входного и выходного напряжения близки друг к другу. В то же время, при RC/T ³ 0,5 они существенно различаются, и выходное напряжение колеблется около среднего значения u2ср = A0. К такому же выводу приводит и сравнение спектров обоих напряжений, начальная часть которых приведена на рис. 11.10, б. При RC/T = 0,02 амплитуды начальных гармоник обоих спектров практически совпадают, что и определяет близость по форме обоих сигналов и во временной области. При RC/T = 0,5, как и при любом другом значении этого параметра, постоянная составляющая напряжения передается на выход цепи без изменений, амплитуда же первой гармоники уменьшается более чем в три раза, а остальные гармоники ослабляются еще сильнее.

б)
Рис. 11.10
Пример расчета более сложной цепи, находящейся под действием периодического несинусоидального сигнала, частотным методом приведен в Задаче 10.1.
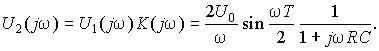
При анализе действия на входе той же RC-цепи одиночного прямоугольного импульса напряжения с амплитудой U0 = F0 (см. рис. 11.5) используем полученное выше выражение для его спектральной плотности U1(jw) = (2U0/w) sin (wT/2). Для выходного сигнала, соответственно, имеем

Зависимость u2(t) находим в результате подстановки этого выражения в интеграл обратного преобразования Фурье (11.6). Сопоставление входных и выходных сигналов и их спектров приводит в сходным выводам. При RC/T = 0,2 (рис. 11.11), когда главные лепестки спектральных характеристик входного и выходного напряжений практически совпадают, импульс выходного напряжения близок по форме к входному. Для RC/T = 1, когда цепь заметно деформирует и главный лепесток спектра входного импульса, а высокочастотные составляющие спектра выходного напряжения, определяющие быстрые изменения сигнала, практически подавлены, выходной сигнал изменяется медленно (рис. 11.11).

Рис. 11.11
Сравнение спектральных характеристик входного и выходного сигналов U1(jw) и U2(jw) показывает, что цепи, содержащие наряду с резистивными элементами динамические элементы L или C, передаточная функция которых зависит от частоты, осуществляют преобразование спектра сигнала. Так, в рассмотренном примере амплитуды составляющих с большими значениями w в спектре выходного сигнала уменьшаются сильнее, чем составляющие спектра входного сигнала. Таким образом, RC-цепь подавляет высшие гармоники входного напряжения, являясь фильтром нижних частот.
Следующий пример расчета цепи, находящейся под действием непериодического несинусоидального сигнала, частотным методом приведен в Задаче 10.2.
В спектре выходного сигнала присутствуют лишь те гармонические составляющие, которые имеются в спектре входного сигнала. Однако некоторые частоты спектра входного сигнала могут отсутствовать на выходе. Например, в цепях с резонансными контурами (рис. 11.12) выходное напряжение не содержит гармоники, для которой выполняется условие резонанса (w = 1/ЦLC).
Рис. 11.12
Подобные схемы можно использовать для исключения из спектра сигнала частот, появление которых в составе выходного напряжения нежелательно.
В технике связи применяют электрические цепи, специально предназначенные для преобразования спектра сигнала: фильтры, модуляторы, детекторы, смесители и др.
Аналогично характер цепи оказывает влияние и на спектр входного тока двухполюсника, подключенного к источнику несинусоидального напряжения. Так, для цепи RL, составленной только из резистивных и индуктивных элементов, амплитудно-частотная характеристика входного сопротивления монотонно возрастает с ростом частоты. Общий характер этой зависимости будет рассмотрен в п.22.3, для простейших цепей это свойство можно проверить непосредственно. Поэтому в спектре входного тока RL-цепи высшие гармоники будут ослабляться сильнее, чем низшие, и кривая тока будет ближе по форме к составляющей самой низкой гармоники, чем кривая напряжения индуктивная цепь сглаживает кривую тока. Это свойство индуктивных цепей используют на практике для ослабления высших гармоник в кривых тока приемников, питаемых от источников несинусоидального напряжения.
Нетрудно обнаружить
противоположный характер действия RС-цепей,
состоящих только из резисторов и
конденсаторов. Так как они обладают
монотонно убывающей зависимостью Z(w),
то в кривой входного тока такой цепи
ослабляются низшие
гармоники, и кривая входного тока
оказывается более искаженной, чем кривая
напряжения. Например, включение
конденсатора последовательно с приемником
исключает постоянную составляющую их
кривой тока приемника.