6.6. ЭНЕРГЕТИЧЕСКИЕ СООТНОШЕНИЯ В РЕЗИСТИВНЫХ ЦЕПЯХ
Из закона сохранения энергии вытекает условие баланса мощностей в любой сложной электрической цепи — равенство суммы мощностей
S pk, потребляемых резистивными элементами цепи
(uk и
ik — напряжения и токи элементов цепи,
Rk = 1/Gk), и суммы мощностей
S
p'k, отдаваемых действующими в цепи источниками ЭДС и тока:
pk' = uk'ik'
(uk'
— напряжение на зажимах k-го источника;
ik' — его ток):
или ![]()
В последнем равенстве должно быть принято согласованное направление отсчета напряжений uk и токов ik на резистивных элементах (рис. 6.12, а). Направления напряжения на источниках отсчитываются от положительного зажима к отрицательному (рис. 6.12, б,в), направления токов источников ik' — от отрицательного зажима к положительному (в направлении стрелки).

Рис. 6.12
В сложной цепи, включающей несколько независимых источников, может оказаться, что часть из них потребляет мощность, отдаваемую другими источниками; для них мощность pk' = uk'ik' будет отрицательной.
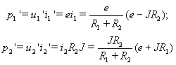
Пример. В цепи с источниками ЭДС и тока (рис. 6.13) токи в резистивных

Рис. 6.13
элементах можно легко определить, используя принцип наложения:
![]()
Мощности, потребляемые обоими резистивными элементами, неотрицательны:
![]()
Мощности, отдаваемые источниками ЭДС и тока,

могут иметь любой знак, что определяется соотношением параметров элементов цепи: при e < JR2 источник ЭДС потребляет энергию, отдаваемую источником тока, при e < – JR1 в режиме потребления энергии работает источник тока. Независимо от этих соотношений суммарная мощность, потребляемая обоими резистивными элементами

положительна и равна сумме мощностей, отдаваемых обоими источниками.