5.5. ПРАВИЛА ПРЕОБРАЗОВАНИЯ СИГНАЛЬНЫХ ГРАФОВ
Одним из возможных способов определения сигналов по построенному графу является его упрощение путем исключения входящих в него узлов, ветвей, контуров и петель. Так как граф является изображением системы линейных алгебраических уравнений, описывающих данную цепь, то подобная геометрическая процедура эквивалентна алгебраическому процессу исключения переменных из этой системы. В табл. 5.1 приведены простейшие правила таких преобразований.
Таблица 5.1
|
№ п/п |
Исходный граф |
Преобразованный граф |
Характер преобразований |
|
1 |
|
|
Передача последовательных ветвей |
|
2 |
|
|
Передача параллельных ветвей |
|
3 |
|
|
Исключение простого узла |
|
4 |
|
|
Исключение простого узла |
|
5 |
|
|
Исключение петли |
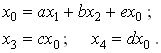
Первые четыре правила очевидным образом вытекают из соответствующих правил алгебраических преобразований и вряд ли требуют дополнительного обоснования Поясним последнее правило исключение петли. В системе уравнений исходного графа

Приводим первое уравнение к виду
![]()
Новая переменная x'0 из последнего уравнения выражает x0
![]()
Последовательности равенств для x'0, x0, x3 и x4 отвечает преобразованный граф, приведенный в табл. 5.1.
С помощью перечисленных правил сигнальный граф любой сложности можно преобразовать к простейшему виду, в котором выходной узел, соответствующий искомому сигналу, непосредственно связан с входными узлами-истоками (рис. 5.9).

Рис. 5.9
По нему искомый сигнал находят как взвешенную сумму переменных, отвечающих истокам графа.
Заметим, что в литературе описаны и другие правила преобразования графов. Необходимо заметить, что нахождение искомой величины путем преобразования графа является трудоемкой операцией, особенно если передачи ветвей выражены в алгебраической, а не в численной форме.