Наблюдение формы сигналов осуществляют с помощью электронно-лучевых осциллографов (ЭО), в основу работы которых положено использование электорнно-лучевых трубок (ЭЛТ) с прямоугольной системой отклонения луча (см. рисунок).

1 – нить накалы;
2 – катод;
3 – электрод управления яркостью луча (модулятор);
4, 5 – фокусирующие и ускоряющие электроды;
6– горизонтально-отклоняющие пластины (Х);
7 – вертикально-отклоняющие пластины (Y);
8 – стеклянная колба;
9 – третий анод;
10 – слой люминофора.

На рисунке показан принцип управления лучом с помощью отклоняющих пластин. Отклонение луча
h связано с параметрами ЭЛТ выражением:

. Таким образом, для получения изображения исследуемого сигнала его необходимо подать на вертикально-отклоняющие пластины (Y). В это случае координата Y пропорциональна исследуемому сигналу U
Y
Y=k
1 U
Y
Для того, чтобы горизонтальная ось выполняла роль координаты времени необходимо на горизонтально-отклоняющие пластины подать линейно-изменяющееся напряжение:
Х = k
2U
x Х = k
3t
K
2U
x = k
3t U
x = (k
3 / k
2)t = kt
На пластины “y” подается исследуемый сигнал, а на пластины “x” линейно изменяющееся напряжение. Если в периоде развертки не умещается целое число периодов исследуемого сигнала, то на экране осциллографа наблюдаем в общем случае светящийся прямоугольник.
U
р = kt; T
р = nT
с; T
обр – время обратного хода (гашение луча).

Рис. 2.
Структурная схема осциллографа.

Рис. 3.
К. А. – калибратор амплитуды (источник напряжения, пиковое значение которого известно с заданной погрешностью). Предназначен для контроля и установки коэффициента отклонения канала вертикального отклонения (КВО);
К. Д. – калибратор длительности (источник сигнала с известными временными характеристиками). Обеспечивает контроль и установку коэффициента развертки КГО;
БП – блок питания.
Канал управления яркостью луча.
Обеспечивает управление яркостью луча от внешнего источника сигнала подключенного ко входу Z.
Канал вертикального отклонения (КВО) (Y).
Предназначен для усиления (ослабления) сигналов, подаваемых на вертикально отклоняющие пластины.

Предварительный усилитель – усиливает сигнал и согласует входное устройство с линией задержки;
к КГО – сигнал подается для синхронизации генератора развертки;
линия задержки – задерживает сигнал КВО – обеспечивает наблюдение фронта импульсных сигналов (особенно с большой скважностью).
Основной усилитель – для усиления сигнала, чтобы расширить динамический диапазон исследуемых сигналов.
Его особенности:
- должен быть симметричный выход (симметричен относительно корпуса).
- Малые АЧ и ФЧ искажения.
- Малые нелинейные искажения.
Параметры КВО.
– нижняя и верхняя граничные частоты полосы пропускания (F
Н, F
В) – частоты, размер изображения на которых уменьшается в

раз по сравнению с опорной частотой при постоянном напряжении гармонического сигнала на входе;
– коэффициент отклонения

, знание
Кв позволяет рассчитать напряжение. Значения
Кв, указанные на передней панели справедливы только при калиброванном положении плавного регулятора коэффициента отклонения (по часовой стрелке до щелчка);
- параметры, характеризующие переходную характеристику:

переходная характеристика – реакция цепи на выходе при воздействии на ее вход единичного перепада напряжения.

- выброс переходной характеристики.

- время нарастания переходной характеристики, оно должно удовлетворять условию

где
tф –длительность фронта исследуемого импульса. Ее можно найти по измеренному значению:

При открытом входе
fНижГр=0
Закрытый вход необходим для того, чтобы исследовать сигналы с большой постоянной составляющей.
Спектр исследуемого сигнала должен полностью укладываться в полосу пропускания.
Канал горизонтального отклонения (КГО) (Х)

аттенюатор – регулируемый ослабитель сигнала.
П2 – переключатель режимов работы КГО
П1 – переключатель режимов работы синхронизации
Генератор линейной развертки – генератор линейного пилообразного напряжения, обеспечивает наблюдение формы сигнала. Его частота может быть изменена в широких пределах.
Устройство синхронизации – обеспечивает синхронную работу генератора линейной развертки с сигналами, поступающими на вход устройства синхронизации.
Режимы работы КГО.
КГО может работать в 2-х режимах:
режим внешней развертки (вспомогательный). П2 в положении 2. В этом случае отклонение луча по горизонтали осуществляется сигналом, подаваемым от внешнего источника, подключаемого ко входу Х. Этот режим можно использовать для расширения функциональных возможностей ЭО: измерение частоты, измерение фазового сдвига, измерение ВАХ и т.д.
Режим внутренней развертки (основной). П2 в положение 1. Режим наблюдения формы сигнала.
Режимы работы генератора линейной развертки:
периодическая развертка (автоколебательная, основной), генератор развертки вырабатывает колебания и при отсутствии сигнала синхронизации - “Z”;
режим ждущей развертки –

в этом режиме генератор развертки вырабатывает колебания только при наличии сигнала синхронизации. (на экране до подачи синхронизирующего сигнала ничего нет);
режим однократной развертки -

в этом случае, после поступления импульсов синхронизации, генератор развертки вырабатывает один импульс линейной развертки и на дальнейшие не реагирует. Используется для фотографирования периодических и непериодических процессов.
Ждущая развертка.

Устройство синхронизации предназначено для выполнения условия синхронизации:
TP=nTСИНХР
При внутренней синхронизации:
TСИНХР=TСИГНАЛА на входе Y.
Схема синхронизации формирует импульсы синхронизации, которые управляют генератором линейной развертки.
Виды синхронизации:
внутренняя (от КВО), т.е. синхронизация осуществляется наблюдаемым сигналом (основной режим);
внешняя синхронизация - в качестве синхронизирующего используется сигнал от внешнего источника, т.е. наблюдаем один сигнал, а синхронизируем другим, можно использовать, когда частоты сигналов, поданных на вход Y и сигналов внешней синхронизации кратны;
от сети - синхронизация осуществляется сигналом от сети, питающей осциллограф, применяется для исследования источников питания, сетевых помех.
Главный орган управления схемы синхронизации – “уровень” – регулирует порог срабатывания устройства синхронизации.

“+”, “-” – полярность синхронизации.
Переключтель (+/-) – изменяет полярность. Устройство синхронизации запускается либо положительным, либо отрицательным переходом сигнала.
Параметры КГО.
В режиме внешней развертки см. параметры КВО.
В режиме внутренней развертки.
- коэффициент развертки 

, V – скорость движения луча по горизонтали.
Внимание! Значение коэффициента развертки, указанные около ступенчатого переключателя коэффициента развертки верны только при калиброванном положении плавного регулятора коэффициента развертки.
Контроль и установка коэффициента развертки осуществляется с помощью калибратора длительности.
Измерение параметров сигнала с помощью осциллографа.

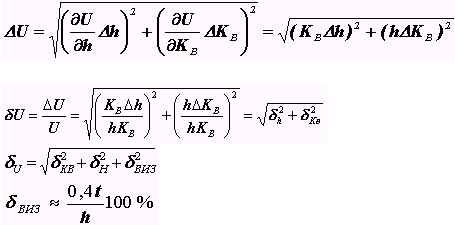
U=hKB Абсолютная погрешность в соответствии с методикой косвенных измерений будет равна:

Измерение интервалов времени

Погрешность измерения параметров сигнала аналоговыми осциллографами довольно велика и составляет порядка 3 –10%.