1. Электромеханические.

Рис. 1. Структурная схема электромеханического аналогового вольтметра.
Разновидности измерительных механизмов:
- Магнитоэлектрический (МЭИМ, постоянный ток);
- Электромагнитный(ЭМИМ);
- Электродинамический(ЭДИМ); (постоянный и переменный ток)
- Электростатический(ЭСИМ);
Наибольшее распространение в технике связи находят МЭИМ благодаря высокой чувствительности и малому потреблению энергии (энергия отнимается у исследуемого объекта)
Термоэлектрический преобразователь:

Рис. 2. Схема термоэлектрического преобразователя.
Исследуемый сигнал поступает на нагреватель (1-2), тот нагревает термопару (3-4), которая вырабатывает термо-эдс Ет (её размер пропорционален мощности Р, выделяемой на нагревателе, которая пропорциональна квадрату входного напряжения), поэтому прибор реагирует на среднеквадратическое значение напряжения сигнала.
Достоинства: работает в широком диапазоне частот (до десятков МГц);
Недостатки: - малая перегрузочная способность;
- низкая чувствительность;
- зависимость от параметров окружающей среды.
Выпрямительный преобразователь:

Рис. 3. Выпрямительный преобразователь.
Мост выполняет функцию взятия по модулю. Прибор с таким преобразователем измеряет средневыпрямленное значение напряжения (если сигнал достаточно большой). При малом сигнале – диод не работает как ключ и процедура взятия модуля сигнала осуществляется с большими искажениями.
Недостатки: необходимость в большом входном сигнале;
Большое потребление энергии от исследуемого объекта;
низкая чувствительность;
низкая точность, связанная с большой погрешностью преобразований сигналов.
2. Электронные.
Структурные схемы ЭВ:


Рис. 4. Структурные схемы электронных вольтметров
ВУ – входное устройство, которое обеспечивает необходимое значение входных параметров вольтметра, калиброванное ослабление входных сигналов с целью расширения диапазонов измерения, согласование ослабителя сигналов с усилителем.
Усилитель переменного тока – обеспечивает калиброванное усиление сигнала в рабочей полосе частот.
Главное требование – высокая стабильность коэффициента усиления, малые нелинейные и линейные искажения.
Усилитель постоянного тока обеспечивает калиброванное усиление постоянного напряжения вырабатываемого преобразователем.
Преобразователь – преобразует переменное напряжение в постоянное, пропорционально какому-либо параметру измеряемого сигнала.
ИМ – измерительный механизм (обычно магнитоэлектрической системы, обладающий высокой чувствительностью). На переменном токе отклонение стрелки
a
такого прибора будет пропорционально среднему значению тока
Iср, т.е. ИМ выполняет функцию интгратора:

Схема а) обладает большей чувствительностью, которая ограничивается собственными шумами усилителя, а они в современных усилителях достаточно малы. В схеме б) чувствительность ограничивается параметрами нелинейных элементов, для работы которых нужен большой сигнал. Схема б) более широкополосная, так как в ней меньше источников частотных погрешностей (отсутствует усилитель переменного тока).
Преобразователи ЭВ (детекторы).
Пиковый преобразователь:

Рис. 5. Схема пикового преобразователя.

Рис. 6. Принцип работы пикового преобразователя.
Конденсатор - для запоминания максимального значения сигнала.
Среднее значение тока разряда конденсатора

Постоянная времени заряда конденсатора
t
з должна быть много меньше постоянной времени разряда конденсатора
t
р,т.е.
t
з <<
t
р
t
з = (R
i + R
д)C
t
р = RC
R
i – внутренне сопротивление источника;
R
д – сопротивление диода;
R – сопротивление резистора.
Чтобы получить вольтметр с закрытым входом, надо поменять местами конденсатор и диод.
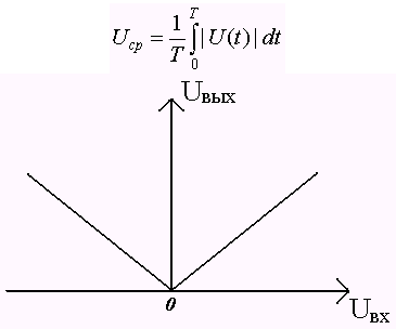
Преобразователь средневыпрямленных значений:

Рис. 7. Схема преобразователя средневыпрямленного значения.

Рис. 8. Характеристика идеального преобразователя средневыпрямленных значений (линейного детектора).
Преобразователь среднеквадратических значений:
Среднеквадратическое значение напряжения определяется выражением

. Для построения преобразователя необходимо выполнить процедуры: взятие по модулю, квадрирование, извлечение квадратного корня.

Рис. 9. Структурная схема преобразователя среднеквадратических значений.