Классификация погрешностей:
Погрешность (неопределённость) - отклонение результата измерения Ах от истинного значения А. В международной практике рекомендовано применение термина
неопределённость, в отечественной нормативной документации и учебной литературе преобладает использование термина
погрешность.
D = Ax - A - формула погрешности, где:
A -
истинное значение - значение, которое бы идеальным образом отражало в качественном и количественном отношениях измеряемую величину;
Ax –
результат измерения. Так как истинное значение величина идеальная и, следовательно, неизвестная, то на практике вместо нее применяют
действительное значение A
0:
D = Ax - A
0
A
0 -
действительное значение, найденное экспериментальным путем и настолько приближающееся к истинному, что для данной цели может быть использовано вместо него.
Классификация погрешностей.
по характеру проявления:
систематические – составляющие погрешности, остающиеся постоянными или закономерно изменяющимися при повторном измерении одного и того же значения;
случайные – составляющие погрешности, изменяющиеся случайным образом при повторном измерении одного и того же значения;
грубые – составляющие погрешности, существенно превышающие ожидаемые, при данных условия измерения;
по источнику возникновения:
методические – составляющие погрешности, вызванные несоответствием теоретической модели эксперимента реальному состоянию;
инструментальная – погрешность применяемых средств измерения;
субъективная – погрешность, вносимая субъектом, проводящим эксперимент;
по условиям применения:
основная – погрешность средства измерения, применяемые в нормальных условиях;
дополнительная – погрешность, вызванная отклонением условий измерения от нормальных;
по характеру поведения измеряемой величины в процессе измерения:
статическая – погрешность средства измерения при измерении неизменной в процессе измерения величины D
стат;
в динамическом режиме D
динам.реж. – погрешность средства измерения при измерении меняющейся во времени в процессе измерения величины;
динамическая D
динам. = D
динам.реж. + D
стат.
по закономерности зависимости от размера измеряемой величины:
5.1 аддитивные
 |
5.2 мультипликативные
 |
А
п – показания приборов;
А
к – конечное значение диапазона измерения.
по способу выражения:
абсолютная D
= Ах – А0 [ед. измерения]
относительная
приведенная
А
н – нормирующее значение (может быть равным конечному значению шкалы, либо – ее геометрической длине либо – диапазону измерения, либо – произвольным).
Относительную погрешность часто выражают в %. Для этого нужно на 100

Точность измерений.

Оценка инструментальной погрешности измерений
Инструментальную погрешность нормируют путем указания пределов допускаемой погрешности, которые указываются в метрологических характеристиках средства измерения.
D
пред. – наибольшая по модулю погрешность средства измерения, при которой оно еще может быть допущено к применению. Фактически, это граница погрешности, за которую она не должна выходить. Таким образом, это позволяет определить границы, в которых находится истинное значение измеряемой величины A:
Пределы допускаемых погрешностей средств измерений могут быть указаны в метрологических характеристиках в разной форме:
- в форме абсолютной погрешности: класс точности
обозначается M, N, O, R… или I, II, III…
- D
пред. = a;
- D
пред. = (a + вАк);
- D
пред. = j
(Ак),
где (а) и (в) константы, указываемые в метрологических характеристиках,
j
(А
к) -
может быть задана формулой, отличной от формулы указанной в пункте 1.2, графиком или таблицей;
2. в форме относительной погрешности:
2.1 класс точности обозначен ©
, где с число из ряда:
(1; 1,5; 2; 2,5; 4; 5; 5) ×
10
n , где n = 1, 0, -1, -2...
2.2 класс точности обозначен c / d – c и d числа из ряда, указанного в пункте 2.1;
где
Ак – наибольший по модулю из диапазонов измерения;
Аn – показания прибора
2.3 если класс точности обозначен, как в пункте 1, то
d
пред задается либо формулой, отличной от формулы указанной в пункте 2.2, либо графиком, либо таблицей;
3. в форме приведенной погрешности:
если класс точности обозначен,

- число из ряда, указанного в пункте 1, то
где:
А
н – нормирующее значение, которое может быть равно:
а) А
н = A
к, если нулевая отметка находится на краю шкалы;
б) А
н = |A
k1| + |A
k2|, если нулевая отметка находится внутри рабочей части шкалы;
в) А
н = |A
k1| -
|A
k2|, если нулевая отметка находится вне пределов шкалы (приборы с условным нулем), где
Aк, A
k1 и A
k2 – конечные значения шкалы прибора. При измерении нужно стремится, чтобы показание прибора было как можно ближе к нормирующему значению. Вышеуказанные обозначения применяют для приборов с равномерной шкалой.
3.1 Для приборов с существенно неравномерной шкалой:
Обозначение:
где
Ан – нормирующее значение, равное геометрической длине всей шкалы приборов;
S – чувствительность приборов в точке отсчета показания;
Dl -
размеры одного деления;
С – цена деления.
Случайная составляющая погрешности измерения (СлСПИ)
и ее оценка.
Случайные погрешности исследуют и оценивают с помощью теории вероятности.
СлСПИ – погрешность изменяющаяся случайным образом, которая меняется при повторных измерениях случайным образом.
a
1, a
2, a
3 … a
i … a
n – ряд наблюдений,
n – число наблюдений,
a
i – результат наблюдения (РН),
Случайная погрешность результата наблюдений:
D
i = a
i -
A
где
mj – количество наблюдений, погрешность которых попала в j-ый интервал,
n
- частота появления события.
Гистограмма -
зависимость частоты появления события от размера события. При предельном переходе гистограмма превращается в дифференциальный закон распределения плотности вероятности (правый график)
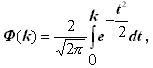
Чаще других встречается нормальный закон распределения случайных погешностей:

где
s
- среднеквадратическое отклонение (СКО).
Нормальный закон распределения характеризуется двумя параметрами:
математическое ожидание M и среднеквадратическое отклонение
s.
Введем новую переменную:

которая представляет собой нормированную случайную погрешность. Пусть
e
граница доверительного интервала случайной составляющей погрешности, тогда

– нормированный доверительный интервал этой погрешности. После замены переменных получим следующее выражение

которое называют интегралом вероятности. Значение вероятности F
(k) приведены в учебниках и математических справочниках
Алгоритм обработки РН при оценке СлСПИ.
Исключить известные СиСПИ;
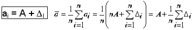
Найти среднее значение (оценку математического ожидания) – результат измерения (РИ)

При n ->
¥
сумма случайных
погрешностей стремится к нулю, поэтому

-
оценка результата измерения.
- Вычислить оценку СКО РН:
а) 
б)
, если не равно 0, то нужно проверить верность выполнения п. 2;
в)
-
оценка среднеквадратичного отклонения;
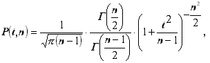
Распределение Стьюдента:
Нормальный закон пригоден для большого числа наблюдений, а как быть, когда число наблюдений мало? Прибегают к распределению Стьюдента :

где
Г – гамма-функция,
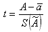
n – число наблюдений,
t – нормированная случайная погрешность среднего значения:

A – истинное значение,

- оценка среднеквадратичного отклонения РИ.

Из графиков распределения Стьюдента видно, что при
n®
¥
оно совпадает с нормальным.
4. Вычислить оценку СКО РИ:

Формула показывает, что с увеличением количества опытов погрешность РИ падает, и при n
®
¥
, случайная погрешность РИ стремиться к 0, а сам РИ, следовательно, к истинному значению, т.е.

5. Проверка гипотезы о принадлежности к нормальному распределению;
а) n < 15 – невозможно определить;
б) 15
³
n
³
50 – определение по составному критерию ГОСТ 8.207-76;
в) n > 50 – определение по ГОСТ 11.06-74;
6. Выявление грубых погрешностей осуществляют в соответствии с ГОСТ 11.002-73, если есть анормальный результат наблюдения – его нужно исключить из ряда наблюдений и повторить вычисления с п. 2.;
7. Определить интервальные оценки СлСПИ:
а) задан доверительный интервал СлСПИ,
Е – граница доверительного интервала. Вычисляют коэффициент Стьюдента
ta

значения P определяется по таблице распределения Стьюдента,
б) задана доверительная вероятность –
P. С помощью таблицы распределения Стьюдента по известным
P и
n находят
ta
, а затем

доверительный интервал СлСПРИ;
8. Оформить результат измерения в соответствии с МИ 1317-86.
Систематическая составляющая погрешности измерения (СиСПИ)
и ее оценка.
Классификация СиСПИ:
а) постоянная;
б) переменная.
Переменные:
прогрессивные (подчиняются закону арифметической прогрессии);
периодические (изменяются по периодическому закону);
по сложному закону;
Принципы исключения СиСПИ:
профилактические;
в процессе измерений (путем увеличения опытов);
в процессе обработки результата наблюдения;
внесение известных поправок;
оценка границ не исключенных СиСПИ.
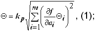
Оценка границ СиСПИ Q
осуществляется по ГОСТ 8.207-76:
1. m > 3 (m – количество источников СиСПИ)

где
Q
i -
граница i-ой систематической погрешности,
k – коэффициент, определяемый заданной вероятностью
P
P |
0.9 |
0.95 |
0.98 |
0.99 |
kp |
0.95 |
1.1 |
1.3 |
1.4 |
2. m
£
3 Е
Если закон равномерный:
1. 
2. в противном случае
.
Из двух результатов берут меньший.
3. Если закон нормальный, то при любом m

все
Q
i должны быть найдены с одинаковой вероятностью при Р=0.95 можно пользоваться любой из формул 1-3
Опроеделение доверительных границ погрешности
результата измерений ( ДГПРИ )
Определим ДГПРИ, если известно:
Q
,

, P, E.
Необходимо найти:
D
- ДГ суммы НРИ.
- если
D
= E;
- если
D
=
Q
;
- в остальных случаях
D
= k(E +
Q
), где k – безразмерный коэффициент.
Границы Е и О должны быть определены с одинаковой вероятностью.
 |
0.75 |
1 |
2 |
3 |
4 |
5 |
6 |
7 |
8 |
|
k(P = 0.95) |
0.77
|
0.74 |
0.71 |
0.73 |
0.76 |
0.78 |
0.79 |
0.8 |
0.81 |
|
k(P = 0.99) |
0.85
|
0.82 |
0.8 |
0.81 |
0.82 |
0.83 |
0.83 |
0.84 |
0.85 |
Оценка погрешности косвенных измерений (РД50-555-85)
Пусть существует A = f(a
1, a
2 … a
m), где:
А – величина подвергаемая косвенному измерению,
a
1, a
2 … a
m – измеренные величины (прямые измерения).
- Исключим СиСПИ из результатов прямых измерений;
- Найдем
где
-
результат I-го измерения,
-
оценка СКО случайной составляющей, Q
I – границы неисключенной систематической составляющей;
- Проверить степень корреляции аргумента.
Дальнейшая обработка справедлива только для слабо коррелированных величин.
- оценка результата косвенного измерения;
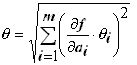
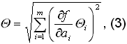
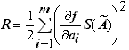
- Вычислить оценку СКО случайной составляющей погрешности результата косвенного измерения

а) 
б) если нелинейная зависимость, то
, (2);
в) если R ³
0.8 ×
, то нужно ввести поправку:
;
- Вычислить границу неисключенной СиСПРИ
а) если m > 3 и закон распределения равномерный
, (1);
б) если m £
3, то рассчитывают по формуле (1) и по формуле
, (2)
из двух значений (1) и (2) выбирают меньшее.
Если закон распределения СиСПИ нормальный, то при любом m:

Все Q
i должны быть определены с одинаковой вероятностью. При P = 0.95, расчет можно вести по любой формуле из (1-3).
Если известны границы суммарной погрешности результатов прямых измерений D
предi, и закон распределения, то для оценки нужно использовать формулу (3), где вместо Q
i ставится D
предi. ДГ суммы погрешностей РИ – см. выше.
Формы представления результатов эксперимента:
- Результат эксперимента должен быть представлен с указанием единиц измерения;
- Обязательно должны быть указаны характеристики погрешностей измерения:
- указываются границы суммарной погрешности и доверительная вероятность, с которой погрешность находится в этих границах;
- отдельно указываются характеристики случайной и систематической составляющих погрешности. Причем могут быть указаны либо границы погрешности с указанием вероятности, либо статистические параметры распределения, т.е. оценка СКО и закон распределения (если есть возможность).
3. Погрешность измерения должна выражаться не более чем двумя значащими цифрами.
Можно указать одну значащую цифру, ели погрешность округления не превышает 5 % (погрешность округляют в большую сторону). Если погрешность округления в большую сторону превышает 5%, то можно округлять в меньшую сторону до двух значащих цифр.
4. Критерий округления результата измерения:
последний разряд результата должен быть таким же, как у округленного значения абсолютной погрешности.
5. Результат измерения должен включать в себя условия проведения измерения (температура, давление, влажность, число наблюдений, частота, на которой проведены измерения, и т. п.).