КВ приемник мирового уровня –это очень просто
ГЛАВА 13 Биполярные транзисторы
“Спец”: Прежде всего — БИПОЛЯРНЫЙ ТРАНЗИСТОР состоит из двух противоположно направленных р—n-переходов. Совершенно ясно, что при этом, как во многих прочих жизненных ситуациях, возможны две структуры : р—п—р и п—р—п .
“Аматор”: При этом одна из внешних областей называется ЭМИТТЕРОМ. В таком случае вторая внешняя область именуется — КОЛЛЕКТОР. А прослойка, лежащая между ними, соответственно — БАЗОЙ (рис. 13.1).

“С”: Интеллигенция тоже именовалась прослойкой! Но любому цивилизованному обществу она необходима точно так же, как БАЗА биполярному транзистору! И в одном, и в другом случае эта база играет решающую и определяющую роль! Если она имеется, то имеется все!
“А”: Благодарю за высокую оценку роли интеллигенции в современном обществе! А вот какова роль базы в транзисторе?
“С”: Давай сперва, опираясь на опыт, полученный при рассмотрении р— n-перехода, представим себе транзистор графически. Пусть это будет п—р— n-транзистор! Посмотрите на его изображение внимательно. Из рисунка следует тот факт, что при любой полярности батареи G, один из переходов окажется подключенным в прямом, а другой в обратном направлении.
“Незнайкин”: То есть “что бы мы ни делали — не идут дела”! То есть я хотел сказать, ток по цепи не проходит!
“С”: Правильно! Хотя, если учитывать тот факт, что реально скорости электронов НЕ РАВНЫ, а существует некоторое распределение их по скоростям, то хотя бы в силу этого ВСЕГДА есть небольшое количество высоко скоростных электронов, которые пройдут через р—n-переход. Вот такой небольшой СКВОЗНОЙ ток будет иметь место в данном случае! Этот ток очень мал и не зависит от величины приложенного напряжения (поймите меня правильно — только до определенного предела!)
“Н”: А если температура будет возрастать?
“С”: Тогда, что совершенно естественно, возрастет и сквозной ток! Более того, возросший сквозной ток будет вызывать дополнительное нагревание переходов...
“А”: Что вызовет новое возрастание тока, а оно, в свою очередь — еще большее нагревание! И так далее!...
“С”: Но вовсе не до бесконечности, а до ТЕПЛОВОГО ПРОБОЯ, который в подобных случаях приводит к разрушению структуры кристалла транзистора!
“Н”: Классно получается! Мы еще не начали толком анализ работы транзистора, но уже знаем, что режим с ОТКЛЮЧЕННОЙ БАЗОЙ — недопустим!
“С”: И запомните эту ИСТИНУ на всю дальнейшую жизнь!...
“А”: Но ведь база должна куда-нибудь подключаться?
“С”: Естественно. А потому нарисуем новую картинку. И внесем в нее одно небольшое добавление... А именно, между эмиттером и базой, в прямом направлении, мы подключим одну небольшую батарейку, и все (рис. 13.2)!...

“А”: Ничего себе “и все”! Сразу “все смешалось в доме Облонских”!
“С”: Ах, оставьте Облонских в покое, нам и своих забот выше крыши! Посмотрите на рисунок! Поскольку переход база —эмиттер включен в прямом направлении, то не будь коллектора — ОН весь ушел бы в базу! Он — это, конечно же, прямой ток перехода. Но, выстроившиеся в коллекторной области положительно ионизированные доноры, своим полем как бы “перехватывают” большую часть проникнувших в базу со стороны эмиттера электронов. И, дополнительно разогнав их, сообщают им достаточную энергию, чтобы они не завернули назад. То есть чтобы они не свернули к положительно ионизированным донорам коллектора, а смогли бы дойти к обозначенной штриховкой зоне коллектора, где их “подхватит” своим положительно заряженным полюсом батарея Gк…э! Далее, уже как коллекторный ток 1к, эти электроны “проследуют” к Gк..э. А из отрицательного полюса этой же батареи ПРИБЛИЗИТЕЛЬНО такое же количество электронов “войдет” в область эмиттера.
“Н”: Вы случайно употребили слово “приблизительно”?
“С”: Многие философы готовы прозакладывать свою собственную голову, что во Вселенной нет ничего случайного! Я, в принципе, не против того, чтобы поспорить на эту тему, но в данном случае выражение ПРИБЛИЗИТЕЛЬНО р употребил действительно НЕ случайно!
“А”: Да и на рисунке видно, что два-три электрончика взяли, да и свернули в базу, перехваченные пусть и небольшим, но тем не менее тоже ПОЛОЖИТЕЛЬНЫМ полюсом батарейки G6_э.
“С”: Очень верное наблюдение! И так будет всегда! Базовый и коллекторный ток в транзисторе неразлучны в том смысле, что для любого транзистора это соотношение выполняется очень строго. Достаточно тем или иным путем добиться увеличения базового тока, как возрастает и коллекторный ток! Ну, а если базовый ток уменьшается, то можете быть спокойны — коллекторный ток уменьшится в той же пропорции!
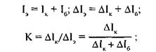
“А”: А может стоит попробовать нарисовать пару формул на эту тему?
“С”: Паркуа бы и нет? Следите за движением кончика моей шариковой ручки:
![]()
“Н”: А что такое К?
“С”: А вот это ИМЕННО ТОТ параметр, о котором многие десятки лет мечтали лучшие физики мира! К — это КОЭФФИЦИЕНТ УСИЛЕНИЯ ТРАНЗИСТОРА по ТОКУ! Поскольку 1к всегда много больше, чем 1б. •
“Н”: Ну и насколько больше, хотелось бы узнать?
“С”: Лучше выразиться так — во сколько раз больше!? Для имеющихся на сегодняшний день в арсенале электроники биполярных транзисторов, коэффициент К (в зависимости от типа и режима транзисторов) находится в пределах от 15 до нескольких тысяч!
“Н”: А от чего это зависит?
“А”: Прежде всего, от толщины базовой области. Но, дорогой Спец, я часто в литературе и в разговорах радистов слышал выражение “коэффициент усиления транзистора — а” и “коэффициент усиления транзистора — р”. Что имеется в виду?
“С”: Действительно, существует несколько различных коэффициентов усиления. Если говорить более строго, то коэффициенты усиления и следует расписать так:
коэффициент усиления а — всегда меньше 1, а р — больше.
“Н”: А какой физический смысл оси (3?
“С”: Все зависит от основной схемы включения транзистора. А вариантов включения известно только три. С общей базой, общим эмиттером и общим коллектором. И мы сейчас поговорим об этом более подробно. Но прежде вопрос — всем понятно, что процессы в р—п—р - транзисторе протекают аналогично?
“А”: Да, но только следует поменять полярности обеих батарей на предыдущем рисунке и заменить доноры на акцепторы и, соответственно, акцепторы на доноры. Ну, а электроны — дырками и наоборот.
“С”: Совершенно верно! Значит, со спокойной душой переходим к основным схемам включения. Первая из них — схема с ОБЩЕЙ БАЗОЙ или ОБ. Вот как это выглядит в первом приближении (рис. 13.3).

“Н”: Что я вижу! Батареи G, и G2 соединены разноименными полюсами?!
“С”: Молодец, сразу заметил! Может быть и соотношение токов для этой схемы запишешь?
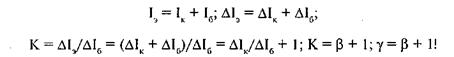
“Н”: Ну хорошо, я попытаюсь...

Но ... ведь это же и есть коэффициент а!
“С”: Правильно! Ты верно предположил, что ток через rh — 1к, или, соответственно, его изменение, — D I кТы убедился, что в данном случае 1э является входным (или D 1э)! Что бы там не происходило, в любом случае коэффициент усиления по току это отношение D IВЫХ к D 1вх. И пришел к совершенно справедливому заключению, что — это коэффициент усиления по току в схеме с общей базой!
“Н”: Мало радости! Хорош усилитель — ослабляет, а не усиливает!
“С”: Так это — по току! А вот по напряжению “все совсем-совсем иначе”!
“Н”: Откуда это вытекает?
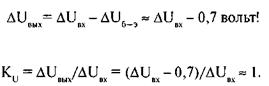
“С”: А ты, Незнайкин, вспомни, что мы говорили о ВАХ диодов? И прикинь, что при изменении D Iб в несколько раз, D Uб_э изменяется не более, чем процентов на 5—8! Значит, если для кремниевого транзистора U6_3 = = 0,7 вольта, то D Uб_э составляет, примерно, не более 0,1 вольта! А вот коллекторная батарейка дает напряжение, к примеру, равное 10 вольт! Но мы подбираем Rн таким, чтобы D URн = 5 вольт.
Но ведь

Вот и выходит, что в схеме ОБ коэффициент усиления по напряжению много БОЛЬШЕ единицы, а коэффициент усиления по току немногим МЕНЬШЕ единицы! Что касается усиления по мощности, то оно также больше единицы.
“Н”: А что можно сказать относительно схем ОЭ и ОК?
“С”: Что касается схемы ОЭ, то именно ее мы рассматривали в самом начале, когда знакомились с принципом работы транзистора.
“А”: Это именно для нее рассчитывался коэффициент усиления по току?
“С”: Да, безусловно! И мы уже знаем, что он значительно больше единицы. Причем — всегда!
“Н”: Но в таком случае для схемы с ОЭ и коэффициент усиления по току, и коэффициент усиления по напряжению значительно больше единицы. Значит, коэффициент усиления по мощности для этой схемы не менее нескольких тысяч?
“С”: Или даже нескольких десятков тысяч! Ну вот, а теперь рассмотрим последнюю разновидность схемы включения транзистора — схему с ОБЩИМ КОЛЛЕКТОРОМ! Можем записать:

А теперь посмотрим, что можно сказать о КU такой схемы. В самом деле, коллекторный ток, проходя по резистору rh создает падение напряжения, равное URн . Но напряжение U6_3 будет во всех случаях иметь величину около 0,7 вольта. Тогда:

Вот эта схема и получила в технике наименование ЭМИТТЕРНЫЙ ПОВТОРИТЕЛЬ.
“А”: Но на принципиальных схемах транзистор всегда изображается иначе?
“С”: Только иначе! Мы с вами тоже, начиная с этого момента, переходим на обозначение биполярного транзистора принятое в электронике. Транзисторы принято обозначать следующим образом — рис. 13.5.

“А”: Что еще следует знать об особенностях этих трех схем включения?
“С”: Ну, как минимум, то, что представлено в табл. 13.1.

“А”: А какие вопросы по биполярным транзисторам еще остались без рассмотрения?
“С”: Да их еще порядком! Вот, например, такой параметр, как 1ко — ОБРАТНЫЙ ТОК КОЛЛЕКТОРА. Западные авторы обычно именуют его как ОБРАТНЫЙ ТОК ПЕРЕХОДА КОЛЛЕКТОР-БАЗА - Icbo.
“Н”: А какова реальная величина этого тока?
“С”: Для германиевых транзисторов, например, ГТ322, ГТ329, ГТЗЗО и т.д. — его величина не превышает единиц микроампер при температуре окружающей среды +20 °С.
Для кремниевых транзисторов общего применения (маломощных) величина 1ко не превышает десятых долей микроампера. У наиболее высококачественных современных транзисторов этот параметр составляет величину несколько тысячных микроампера!
“А”: Странно, что такие малые токи доставляют столько беспокойства разработчикам электронных систем!
“С”: Еще бы! Возьмем для примера наиболее почитаемую электронщиками схему с общим эмиттером — ОЭ (рис. 13.6).

Когда-то многие радиолюбительские конструкции базировались на применении вот такой “простейшей” схемы усилителя с ОЭ. Невозможно себе даже представить, сколько десятков тысяч радиолюбителей испытали горчайшее разочарование, когда их первые простейшие приемники прямого усиления, где приведенная схемка, в основном и применялась, так никогда и не заработали!
“Н”: И все равно я не могу понять причину! Ведь выбором соответствующей величины R1 мы устанавливаем базовый ток транзистора равным, например, 100 мкА. Если b = 50, ток коллектора 1к будет равен 5 мА, а этого вполне достаточно.
“А”: Ну, Незнайкин, ты рассуждаешь как раз на уровне тех радиолюбителей — неудачников, о которых мы только что говорили!
“С”: Да, потому что они не отнеслись серьезно к такому параметру, как 1ко! А напрасно! Поскольку в действительности для этой схемы:
![]()
Таким образом, обратный коллекторный ток СКЛАДЫВАЕТСЯ с базовым током, а если учесть, что с ростом температуры на каждые 10 град С, 1ко возрастает, примерно, вдвое, то необходимость его минимизации становится очевидной.
“А”: А есть какая-нибудь возможность чисто схемным путем уменьшить 1ко?
“С”: К сожалению, Iк0, есть параметр, который не зависит НИКОИМ ОБРАЗОМ от наших схемных ухищрений! Это собственный параметр транзистора, зависящий от многих причин. Например, от качества р—п-перехода, чистоты исходного кремния (германия), правильности кристаллической решетки, степени герметизации поверхности кристалла и т.д. Но вот если ты спросишь, можно ли схемным путем в значительной степени УМЕНЬШИТЬ ВЛИЯНИЕ этого параметра (и его температурных изменений) на стабильность работы усилителя, то я отвечу — ДА!
“Н”: А каким образом?
“С”: Например, используя установку рабочей точки с помощью отрицательной обратной связи по току. Величины сопротивлений R1 и R2 выбираем такими, чтобы ток I превышал 1б в 10 — 15 раз (см. рис. 13.7).

В отсутствии входного сигнала, стабильность рабочей точки тем лучше, чем больше падение постоянного напряжения на R3. Из практических соображений это напряжение выбирают равным, примерно, двум вольтам. Тогда, при возрастании с ростом температуры окружающей среды тока 1ко, увеличивается и падение напряжения на R3. Но поскольку задаваемый резисторами R1 и R2 потенциал базы не изменяется, то, следовательно, уменьшается потенциал между базой и эмиттером транзистора. А это ведет к уменьшению коллекторного тока 1к. Но это... вызывает уменьшение падения напряжения на R3. А при этом...
“А”: Возрастает U6_3!..
“С”: Ну конечно же! То есть схема “отрабатывает” температурные изменения 1ко, обеспечивая стабильную работу схемы. Вот именно такая конфигурация схемы ОЭ характерна для “профессиональных” узлов.
“А”: Отлично, с 1ко разобрались!
“С”: В первом приближении, только в первом приближении! Но, сдержим наших коней, поскольку мы еще далеко не все рассказали о биполярном транзисторе. А потому самое время коснуться темы о его СЕМЕЙСТВЕ ХАРАКТЕРИСТИК.
“Н”: Что понимается под термином “семейство характеристик”?
“С”: Ну, прежде всего различают ВХОДНУЮ, ПЕРЕДАТОЧНУЮ и ВЫХОДНУЮ характеристики! Не разобравшись в них, переходить к схемотехнике бессмысленно! Дорогой Аматор, я знаю, вы достаточно вникли в суть этого вопроса, а потому прошу вас...
“А”: Лично я всегда относился с симпатией как к транзисторам, так и к их характеристикам! А потому предлагаю на всеобщее обозрение рис. 13.8.

Обратите внимание на семейство ВЫХОДНЫХ характеристик биполярного транзистора. Очень любопытной является точка “А”. Здесь резкое нарастание коллекторного тока (для фиксированного U6_3 = 0,7 В) при повышении UK_3 от 0 до, примерно, 0,4 В неожиданно и полностью изменяет свой характер! И при дальнейшем повышении коллекторного напряжения, от 0,4 до 10 вольт, коллекторный ток возрастает ВСЕГО на ОДИН миллиампер!
“Н”: А если повышать Uк-э дальше?
“С”: Ход выходной характеристики будет оставаться все таким же ровным и плавным! Правда, если мы вовремя не остановимся, то в конце — концов добьемся того, что достигнем напряжения пробоя, при котором произойдет резкое, внезапное и, увы, необратимое разрушение транзисторной структуры. Поэтому для каждого типа транзистора существует строго оговоренное паспортное значение предельного коллекторного напряжения. Оно, в за висимости от предназначения, типа и индекса транзистора, находится в пределах от нескольких (обычно не менее 10) вольт до многих сотен и даже тысяч вольт!
“А”: А насколько изменяется положение точки “А” у такого разнообразия транзисторов? Я имею в виду численные значения напряжения “большого перелома”?
“С”: Это очень важный вопрос! Проекция точки “А” на абсциссу UK_3 соответствует одному из важнейших параметров транзистора — НАПРЯЖЕНИЮ НАСЫЩЕНИЯ. Иначе — Uк-э нас. Чем эта величина меньше, тем более качественным считается транзистор.- Дело в том, что это также чисто внутренний, нерегулируемый схемотехнически параметр транзистора. Прежде у старых германиевых транзисторов, например П416, Uк-э нас — 1 В. У кремниевых высоковольтных (первых выпусков, например КТ605) этот параметр достигал 5 — 6 вольт. У наиболее популярных и массовых, например КТ315, в зависимости от индекса, UK_3 нас варьируется от 0,1 до 0,3 вольт.
“А”: Ну, а у наиболее качественных?
“С”: Да вот, например, отлично зарекомендовали себя такие маломощные транзисторы, как КТ342, КТ3102, КТ3107, КТ349 и т.д. Для них характерно значение рассматриваемого параметра порядка: 0,06 — 0,1 вольт. Заметим также, что Uк-э нас уменьшается при уменьшении величины коллекторного тока.
“А”: Удивительно, что изменение напряжения U6_3 буквально на несколько десятков милливольт (при фиксированном Uк-э ) оказывает такое крутое влияние на величину коллекторного тока!
“С”: Но самое главное, что варьируя потенциал U6_3 ПО НАШЕЙ ВОЛЕ, схемотехнически, мы приступаем к овладению фантастическими возможностями транзистора!
“Н”: Однако, на семействе выходных характеристик отмечен и такой параметр как НАКЛОН, если я не ошибаюсь?
“С”: Нет, Незнайкин, не ошибаешься! Наклон характеристики характеризуется отношением D Iк/D UK_3. Существуют транзисторы, у которых этот наклон стремится к нулю! Или, можно сказать, отношение D UK_3/D IK — стремится к бесконечности! Эта зависимость называется еще ДИФФЕРЕНЦИАЛЬНЫМ ВЫХОДНЫМ СОПРОТИВЛЕНИЕМ и обозначается как гкэ(гсе).
гкэ = D UK/D IK | при U6_3 = const.
“Н”: А что представляет из себя параметр S?
“С”: Изменение коллекторного тока в зависимости от изменения напряжения база—эмиттер, получило определение КРУТИЗНА или S.
S = D 1к/D Uб_э при UK_3
= const.
“А”: А теперь можем перейти к рассмотрению ПЕРЕДАТОЧНОЙ (переходной) ХАРАКТЕРИСТИКИ?
“С”: Вполне! Это очень наглядная характеристика, показывающая зависимость коллекторного тока от напряжения база—эмиттер. Но запомним, что при ФИКСИРОВАННОМ UK_3! Поскольку, если UK_3 варьируется, то в таком случае имеем СЕМЕЙСТВО переходных характеристик!
“Н”: Ну, а для чего тогда необходима ВХОДНАЯ ХАРАКТЕРИСТИКА?
“С”: Для чувства комфорта, дорогой Незнайкин! В некоторых случаях удобно знать зависимость U6_3 от базового тока 16. И, кроме того, при профессиональных расчетах параметров и режимов электронных узлов. Также для описания входной цепи транзистора как нагрузки, соединенной с входным источником напряжения, скажем...
При этом вводят такое понятие, как ДИФФЕРЕНЦИАЛЬНОЕ ВХОДНОЕ СОПРОТИВЛЕНИЕ:
R (rбэ = D Uб-э/ D Iб При Uк-э = const
И, наконец, мы говорили, что В = Iк /Iб . Помните?
“А”: Да, но мы говорили не о В, а о b , насколько я помню?
“С”: А я именно потому и вернулся к этому вопросу! Повторение — мать учения! Итак, запишем:
b = D Iк/D 16; В = I к /Iб — коэффициент статического усиления по току.
“Н”: А что, между ними есть разница?
“С”: Да как не быть? Вот типовая зависимость коэффициентов статического и динамического усиления по току от величины коллекторного тока для маломощного транзистора (см. рис. 13.9).

Кстати, уточним на всякий случай, что:
b = D Iк/D 16 | при U к-э = const!
“Н”: Ну, наконец, мы кое-что знаем о транзисторе!
“С”: Ты уверен? Информация к размышлению: полное количество параметров транзистора превышает СЕМЬСОТ!
“А”: Я не думал, что так много! Но ведь в практической схемотехнике применяется много меньше?
“С”: Немногим более двух десятков!... Но, друзья мои, пора переходить к ВЫСОКОЧАСТОТНЫМ параметрам транзистора!
“А”: Насколько я знаю, существует частотная зависимость коэффициента усиления по току для реальных транзисторов. И она определяется не в последнюю очередь их технологическими параметрами. Такими, как толщина базы, площади р—n-переходов и все такое прочее. Ну и, кроме того, наличием паразитных емкостей.
“С”: Абсолютно верно! Я бы только сказал, что технологические параметры определяют высокочастотные свойства транзисторов В ПЕРВУЮ ОЧЕРЕДЬ! Полезно и даже необходимо принять во внимание еще несколько параметров. Например, fb . fb .— это частота, при которой коэффициент усиления транзистора по току уменьшается на 3 дБ. Наряду с fb . используется и частота fт Это такая частота, при которой коэффициент усиления по току Р = 1. Они связаны следующим соотношением:
fт = b fb
Употребляется еще и такой параметр, как f s — граничная частота крутизны транзистора:
fs = 10 fb .
Отмечают также и максимальную частоту генерации fmax, которая, примерно, вдвое выше, чем fт
“А”: А что такое частота fa?
“С”: Достаточно запомнить, что fa = fт! fa — это граничная частота усиления в схеме с ОБ, а fb — граничная частота усиления в схеме с ОЭ.
“А”: Так вот почему в разработках прежних лет так широко использовались схемы высокочастотных каскадов, использующих конфигурацию с общей базой!
“С”: Да, пока не появились современные высокочастотные транзисторы, у которых fт. достигает нескольких ГИГАГЕРЦ, что дает возможность использовать преимущества схем с ОЭ в диапазоне частот до нескольких сотен мегагерц!
“А”: Часто приходится встречать упоминание о так называемом ЭФФЕКТЕ МИЛЛЕРА. Что это такое?
“С”: Дело в том, что в реальных схемах образуются паразитные емкости: С1 — монтажа и подводящих цепей; С2 — емкость эмиттер—база; СЗ — емкость коллектор—база и С4 — емкость коллектор—эмиттер. Все это приводит к появлению емкости, называемой ДЕЙСТВУЮЩЕЙ ВХОДНОЙ ЕМКОСТЬЮ схемы Cs
Cs = Cl + С2 + |А|СЗ.
Здесь А —.коэффициент усиления схемы по напряжению.
Такое увеличение емкости перехода коллектор—база называется эффектом Миллера. Для схемы с ОЭ можно записать:
Cs @ |А|СЗ.
“А”: Жизнь бьет ключом и все по голове! Непросто применять схемы с ОЭ в высокочастотной схемотехнике, как я погляжу!
“С”: Весьма непросто! Но преимущества ОЭ так велики, что разработан целый ряд транзисторов, у которых удалось существенно понизить емкость
СЗ (коллектор—база). В десятки раз! По сравнению с обычными транзисторами. Чтобы не было никаких недоразумений, договоримся, что под “обычными транзисторами” мы будем подразумевать КТ315.
“А”: У любителей они известны, как “семечки”!
“С”: Да, но вообще стоит заметить, что эти самые “семечки” — отличные универсальные транзисторы...
“А”: ...Которые с успехом применяются в высокочастотных схемах!
“С”: Когда для этой цели под рукой нет ничего более подходящего! Кстати, согласно справочнику, для всех индексов транзистора КТ315 емкость СЗ (коллектор—база) составляет 7 пФ, а для КТ315Ж — 10 пФ! А вот для специализированного ВЧ транзистора КТ339А — не более 2пФ! А это — существенная разница! У германиевого транзистора ГТ329 емкость меньше, чем 2 пФ. А вот у ГТ341 —- не более 1 пФ! У прекрасного пециализированного транзистора КТ399А (он действительно имеет параметры международного класса) емкость коллектор—база меньше, чем 1,4 пФ!
“А”: Выходит, что хотя КТ315 и КТ339А имеют примерно равные fт, я никогда не получу при использовании КТ315 такое усиление на высоких частотах, как для КТ339А?
“С”: В одной и той же схеме подключения — никогда! И примирись с этим заранее! Поэтому в радиоприемных устройствах высокого класса (а мы собираемся строить именно такое) следует в радиочастотных цепях применять ТОЛЬКО специализированные малошумящие транзисторы!
“Н”: А чем характеризуются шумовые параметры транзистора?
“С”: Обычно сам транзистор считается бесшумным. Тогда КОЭФФИЦИЕНТ ШУМА F показывает, на какое число необходимо умножить мощность шума в резисторе rbh (где rbh — эквивалентная величина внутреннего сопротивления источника напряжения сигнала), чтобы на выходе бесшумного транзистора получить такую же мощность шума, что и в реальной цепи. Коэффициент шума характеризуется логарифмической величиной F (дБ) = 10 lg F. Эта величина зависит от целого ряда параметров. От режима эксплуатации, диапазона частот, температуры. Для каждого типа специализированных малошумящих транзисторов определен перечень режимов и условий, при которых шум минимален...
“А”: Что мы обязательно учтем при постройке приемника!
“С”: Вне всяких сомнений!
“Н”: Что нам ещё осталось сделать для ознакомления с биполярными транзисторами?
“С”: Больше ничего! Теперь пора перейти к рассмотрению ПОЛЕВЫХ ТРАНЗИСТОРОВ.