6.2
Радиочастотные кабели.
РД — радиочастотные
симметричные кабели, двухжильные или из двух коаксиальных пар;
PC — радиочастотные кабели со спиральными
проводниками коаксиальные и симметричные.
По конструктивному
выполнению изоляции радиочастотные кабели подразделяют на три группы:
- кабели со сплошной
изоляцией, у которых все пространство между внутренним и внешним проводниками
(коаксиальные кабели) или между токопроводящими жилами и их экраном
(симметричные кабели) заполнено сплошной изоляцией или обмоткой из изоляционных
лент;
- кабели с воздушной
изоляцией, у которых на внутреннем проводнике (коаксиальные кабели или
симметричные кабели из двух коаксиальных пар) или на жилах (симметричные
кабели) через определенный интервал имеются выполненные из изоляционного
материала шайбы, колпачки или кордель, наложенный по винтовой спирали,
образующие изоляционный каркас между внутренним и внешним проводниками или
между жилами и их экраном;
- кабели с полувоздушной
изоляцией, у которых трубка из изоляционного материала, выполненная сплошной
или в виде обмотки из лент, расположена поверх или под изоляционным каркасом,
помещенным между внутренним и внешним проводниками (коаксиальные кабели или
симметричные кабели из двух коаксиальных пар) или на каждой из двух жил
(симметричные кабели). К полувоздушной изоляции относится также
пористо-пластмассовая, балонная и изоляция в виде шлицованной трубки.
По номинальному волновому
сопротивлению установлены следующие ряды кабелей:
- для типа РК- 50,
75, 100, 150 и 200 Ом;
- для типа PC- 50,
75, 100, 150, 200, 400, 800, 1600 и 3200 Ом;
- для типа РД —
75, 100, 150, 200 и 300 Ом. Коаксиальные кабели в зависимости от номинального
диаметра по изоляции разделяют на четыре группы:
- субминиатюрные —
диаметром до 7 мм;
- миниатюрные — от 1,5 до 2,95
(3.0) мм;
- среднегабаритные — от 3,7
до 11,5 мм;
- крупногабаритные — более 11,5
мм.
По теплостойкости кабели
разделяют на три категории:
- обычной теплостойкости — для
температур до 125°С включительно;
- повышенной теплостойкости — от
125 до 250°С включительно;
- высокой теплостойкости — выше
250°С.
Каждому кабелю присвоено
условное обозначение (марка кабеля), которое состоит из букв, означающих тип
кабеля, и трех чисел (разделенных тире).
ПЕРВОЕ ЧИСЛО означает величину номинального
волнового сопротивления.
ВТОРОЕ ЧИСЛО означает:
- для коаксиальных кабелей
— величину диаметра по изоляции, округленную для диаметров более 2 мм до
ближайшего целого числа.
- для кабелей со спиральными
внутренними проводниками — значение номинального диаметра сердечника;
- для симметричных кабелей
с двумя коаксиальными парами — значение диаметра по изоляции коаксиальной
пары, округленное так же, как и для коаксиальных кабелей;
- для симметричных кабелей с
изолированными жилами — значение наибольшего диаметра по заполнению или
по скрутке.
ТРЕТЬЕ— двух- или трехзначное число, первая
цифра которого означает группу изоляции и категорию теплостойкости кабеля, а
последующие — порядковый номер разработки кабеля.
Таблица 6. 1
|
Численное значение
|
Группировка изоляции (по
ГОСТ 11326.0.71) |
Материал изоляции (по
ГОСТ 11326.0-67) |
|
1 |
Сплошная изоляция обычной
теплостойкости (до 125С) |
Полиэтилен различных
модификаций и его смеси |
|
2 |
Сплошная изоляция
повышенной теплостойкости (125-250С) |
Фторлон (фторопласт) и
его сополимеры |
|
3 |
Полувоздушная изоляция
обычной теплостойкости (до 125С) |
Полистирол (стирофлекс)
|
|
4 |
Полувоздушная изоляция
повышенной теплостойкости (125-250С) |
Полипропилен и его смеси
|
|
5 |
Воздушная изоляция
обычной теплостойкости (до 125С) |
Резина |
|
6 |
Воздушная изоляция
повышенной теплостойкости (125-250С) |
Неорганическая изоляция
|
|
7 |
Воздушная изоляция
высокой теплостойкости (свыше 250С) |
|
Каждой группе изоляции, при
соответствующей теплостойкости кабеля, присвоено следующее цифровое обозначение
(табл.6.1).
К марке кабелей повышенной
однородности или повышенной стабильности параметров в конце через тире
добавляется буква С. Предельные отклонения от номинальных значений
волнового сопротивления для 75-омных коаксиальных кабелей повышенной
однородности, с диаметром изоляции 3,7 - 9,0 мм составляет:
- при сплошной изоляции
±1,5 Ом,
- при полувоздушной или
воздушной изоляции ±2 Ом.
В обозначении кабелей,
предназначенных для систем коллективного приема телевидения и индивидуальных
приемных антенн, добавляется буква А (РК-75-4-11А). Эти кабели
отличаются от основных марок внешним проводником, выполняемым плотностью 40-60%
[при угле наложения оплетки 65-74). Кабели для телевизионных антенн не
подвергают испытанию на корону и не измеряют затухание на частоте 3 ГГц до и
после испытания на стабильность.
Условное обозначение
радиочастотного коаксиального кабеля РК-75-4-12 означает:
РК — радиочастотный кабель;
75 — волновое
сопротивление. Ом;
4 — диаметр кабеля по
изоляции, мм;
12 — двузначное число, в
котором первая цифра указывает род изоляции (1 — сплошная изоляция обычной
теплостойкости до 125°С), а вторая — порядковый
номер конструкции кабеля.
На полиэтиленовой оболочке
или на оболочке из поливинилхлоридного пластикада по всей длине кабеля с
наружным диаметром более 4 мм на расстоянии не более 1 м друг от друга обычно
наносятся:
- марка кабеля;
- товарный знак
предприятия-изготовителя или его условное обозначение;
- год выпуска кабеля.
Наибольшее распространение
для создания фидерних линий, используемых для передачи ТВ сигнала, получил
экранированный несимметричный (коаксиальный) кабель РК (рис.6.9.а) и
неэкранированный ленточный симметричный кабель КАТВ [кабель антенный
телевизионный с виниловой изоляцией) — рис 6.9.в. В некоторых случаях
используют симметричные экранированные кабели марок РД (рис. 6.9.г) и воздушные
двухпроводные симметричные линии.

Рис. 6.9. Конструкции радиочастотных кабелей:
а—несимметричный коаксиальный с одиночным внутренним
проводом;
б — несимметричный коаксиальный с многожильным внутренним
проводом;
в —симметричный ленточный КАТВ; г— симметричный
экранированный кабель РД.
Распространенной
конструкцией внутреннего проводника радиочастотных кабелей является одиночный
провод. Выполнение внутренней жилы в виде набора скрученных проводов (7,
19 или 37) обеспечивает эластичность, повышает гибкость и его
вибрационную стойкость, (рис. 6.9.6)
Внутренний проводник
радиочастотных кабелей повышенной стабильности (для работы при 200 С и выше)
изготавливают из посеребренной медной проволоки. Малогабаритные радиочастотные
кабели для повышения механической прочности изготовляют с внутренним
проводником из биметаллической проволоки (сталь-медь).
При использовании
радиочастотных кабелей в условиях высоких температур (200-300°С) в качестве
экрана используют посеребренную медную проволоку, а для работы при температурах
350-450°С — никелированную медную проволоку или проволоку из нержавеющей стали.
В условиях повышенной
влажности для кабелей с резиновой изоляцией экран изготовляют из луженой медной
проволоки.
Конструктивно симметричный
ленточный кабель КАТВ [рис.6.9.в] состоит из двух семижильных
проводников 1, запресованных в полихлорвиниловый пластикат 2. При
распространении сигнала по неэкранированной симметричной линии, выполненной из
кабеля КАТВ, часть сигнала рассеивается в пространстве, а сама линия довольно чувствительна
к сигналам помех. Для того чтобы кабель КАТВ не работал как антенна (в близких
зонах от ТВ прередающих центров}, его рекомендуют скручивать (до четырех
скруток на один метр).
Более защищен от помех
симметричный экранированный кабель РД (рис. 6.9. г). Внутренние
проводники 1 выполнены из одной либо семи скрученных медных жил. Проводники жил
помещены в изоляцию 2. Поверх изоляции наложен экран 3 и защитная
оболочка 4. Благодаря его экранирующим свойствам повышается
помехоустойчивость приема, устраняются искажения диаграммы направленности
антенны, связанные с антенным эффектом [излучением кабеля).
В настоящее время на
мировом рынке имеются радиочастотные кабели различных типов (рис.6.10).
Структура условных обозначений их различна и может устанавливаться
фирмами-изготовителями. Так, тип кабеля, изготовляемого странами Юго-Восточной
Азии, имеет следующую маркировку:
ПЕРВЫЙ ЭЛЕМЕНТ (цифра) означает округленный диаметр
кабеля по металлической
оплетке;
ВТОРОЙ ЭЛЕМЕНТ (буква) означает волновое сопротивление («D»
- 50 Ом, «С» - 75 Ом);
ТРЕТИЙ ЭЛЕМЕНТ (несколько ЦИФР и БУКВ
через дефис)
означает тип изоляции («2V»
— изоляция из сплошного полиэтилена).
Маркировка зарубежных
кабелей, удовлетворяющая требованиям американской оборонной промышленности (согласно
стандарту MIL-C-17D), означает:

Рис. 6.10. Внешний вид импортных коаксиальных кабелей
- RG (Radio Guide) —
«радиоволновод», при маркировке может опускаться (59/U = RG 59/U);
- ЧИСЛОВОЙ КОД —
порядковый номер разработки;
- возможен БУКВЕННЫЙ СИМВОЛ,
указывающий на различия в конструкции и применении, например: (U) «utility» —
сервисный (эффективный).
Так, кабель RG-58
используется при построении локальных компьютерных сетей и в промышленной радиоизмерительной
аппаратуре (аналог РК-50), RG-59 — используется в телевизионной и бытовой
технике (аналог РК-75).
Встречается также
маркировка кабеля (75-4-1, 75-5-В), где:
ПЕРВЫЙ ЭЛЕМЕНТ (цифры) означает волновое сопротивление;
ВТОРОЙ ЭЛЕМЕНТ (цифра) означает округленный диаметр
внутреннего диэлектрика;
ТРЕТИЙ ЭЛЕМЕНТ (цифра
или буква) означает
технологические различия.
Элементы маркировки
наносятся на внешнюю защитную оболочку кабеля и разделяются дефисом.
6.2.1. Параметры отечественных коаксиальных кабелей.
Параметры кабелей со
сплошной полиэтиленовой изоляцией и волновым сопротивлением 50 Ом
- электрическая (погонная) емкость,
пф/м ...............................51
- коэффициент укорочения
длины волны ................................... 1,52
- электрическое
сопротивление изоляции, ТОм ...................5
Таблица 6.2. Справочные данные
|
Тип кабеля |
Затухание на частотах,
дБ/м |
|||
|
0. 1 ГГц |
1,0 ГГц |
3,0 ГГц |
10,0 ГГц |
|
|
РК-50-1-11 |
0,4 |
1,6 |
2,3 |
. |
|
РК-50-1-12 |
0,41 |
01.мар |
2,2 |
4,1 |
|
РК-50-1,5-11 |
0,22 |
0,85 |
1,7 |
|
|
РК-50-1,5-12 |
0,3 |
1 |
1,8 |
3,2 |
|
РК-50-2-11 |
0,18 |
0,8 |
1,15 |
3,2 |
|
РК-50-2-12 |
0,4 |
0,75 |
1,3 |
|
|
РК-50-2-13 |
0,19 |
0,8 |
1,6 |
3,3 |
|
РК-50-2-15 |
0,19 |
0,73 |
1,5 |
- |
|
РК-50-2-16 |
0,16 |
0,6 |
1 |
2,1 |
|
РК-50-3-11 |
0,15 |
0,65 |
1,1 |
3 |
|
РК-50-3-13 |
0,15 |
0,65 |
1,3 |
2,9 |
|
РК-50-4-11 |
0,11 |
0,5 |
0,95 |
2 |
|
РК-50-4-13 |
0,1 |
0,5 |
0,9 |
2 |
|
РК-50-7-11 |
0,09 |
0,4 |
0,8 |
1,5 |
|
РК-50-7-12 |
0,08 |
0,4 |
0,75 |
1,6 |
|
РК-50-7-13 |
0,07 |
0,3 |
0,56 |
1,2 |
|
РК-50-7-15 |
0,08 |
0,4 |
0,75 |
1,7 |
|
РК-50-7-16 |
0,09 |
0,4 |
0,8 |
1,7 |
|
РК-50-9-11 |
0,07 |
0,32 |
0,7 |
1,5 |
|
РК-50-9-12 |
0,07 |
0,35 |
0,75 |
1,8 |
|
РК-50-11-11 |
0,06 |
0,29 |
0,55 |
- |
|
РК-50-11-13 |
0,06 |
0,29 |
0,55 |
- |
Параметры кабелей со
сплошной полиэтиленовой изоляцией и волновым сопротивлением 75 Ом
- электрическая (погонная) емкость,
пф/м...........................................67
- коэффициент укорочения
длины волны.......................................1,52
- электрическое
сопротивление изоляции, ТОм..................................5
Таблица 6.3. Справочные данные
|
Тип кабеля |
Затухание на частотах,
дБ/м |
|||
|
0. 1 ГГц |
1,0 ГГц |
3,0 ГГц |
10,0 ГГц |
|
|
РК-75-1-11 |
0,36 |
1,2 |
2,2 |
- |
|
РК-75-1-12 |
0,4 |
1,2 |
2,2 |
4,1 |
|
РК-75-1,5-11 |
0.3 |
1,2 |
3,2 |
- |
|
РК-75-1,5-12 |
0,3 |
1 |
1.8 |
3,1 |
|
РК-75-2-11 |
0,27 |
0,85 |
1,6 |
2,8 |
|
РК-75-2-12 |
0,24 |
0,75 |
1,3 |
- |
|
РК-75-2-13 |
0,2 |
0,75 |
1,3 |
2,7 |
|
РК-75-3-13 |
0,11 |
0,5 |
0,9 |
- |
|
Тип кабеля |
Затухание на частотах,
дБ/м |
|||
|
0. 1 ГТц |
1,0 ГГц |
3,0 ГГц |
10,0 ГГц |
|
|
РК-75-4-11 |
0,1 |
0,4 |
1 |
2,02 |
|
РК-75-4-12 |
0,11 |
0,52 |
1,02 |
2,3 |
|
РК-75-4-13 |
0,13 |
0,55 |
1 |
2,5 |
|
РК-75-4-14 |
0,13 |
0,6 |
1.1 |
2,4 |
|
РК-75-4-15 |
0,032 |
0,5 |
1 |
2,2 |
|
РК-75-4-16 |
0,1 |
0,5 |
1 |
2,2 |
|
РК-75-4-18 |
0,09 |
0,5 |
1,2 |
2,3 |
|
РК-75-4-100 |
0,1 |
0,6 |
1,5 |
- |
|
РК-75-7-11 |
0,05 |
0,21 |
0,4 |
0,85 |
|
РК-75-7-12 |
0,09 |
0,4 |
0,8 |
1,8 |
|
РК-75-7-15 |
0,08 |
0,36 |
0,75 |
1,7 |
|
РК-75-7-16 |
0,09 |
0,4 |
0,8 |
1,8 |
|
РК-75-9-12 |
0,06 |
0,26 |
0,6 |
1,2 |
|
РК-75-9-13 |
0,06 |
0,27 |
0,54 |
1,1 |
|
РК-75-9-14 |
0,05 |
0,24 |
0,46 |
1 |
|
РК-75-9-16 |
0,05 |
0,24 |
0,46 |
1 |
|
РК-75-13-11 |
0,036 |
0,13 |
0,2 |
- |
|
РК-75-17-12 |
0,03 |
0,11 |
0,21 |
- |
Параметры кабелей со
сплошной полиэтиленовой изоляцией и волновым сопротивлением 100 Ом
- электрическая (погонная) емкость, пФ/м
...............................51
- коэффициент укорочения
длины волны ................................1,52
- электрическое
сопротивление изоляции, ТОм....................... 5
Таблица 6.4. Справочные данные
|
Тип кабеля |
Затухание на частотах,
дБ/м |
|||
|
0.1 ГГц |
1,0 ГГц |
3,0 ГГц |
10,0 ГТц |
|
|
РК-100-7-11 |
0,08 |
0,41 |
0,9 |
2,1 |
|
РК-100-7-13 |
0,08 |
0,42 |
0,9 |
2,1 |
Параметры
крупногабаритных коаксиальных кабелей со сплошной полиэтиленовой изоляцией и волновым
сопротивлением 50 Ом
- электрическая (погонная) емкость,
пФ/м ...............................100
- коэффициент укорочения
длины волны ................................... 1,52
- электрическое
сопротивление изоляции, ТОм ...................10
Табпииа 6.5. Справочные данные
|
Тип кабеля |
Затухание на частотах,
дБ/м |
|||
|
0.1 ГГц |
1,0 ГГц |
3,0 ГГц |
10,0 ГГц |
|
|
РК-50-13-15 |
0,038 |
0,16 |
0.28 |
|
|
РК-50-13-17 |
0,048 |
0,2 |
0,46 |
|
|
РК-50-17-17 |
0,04 |
0,15 |
0,3 |
|
|
РК-50-24-15 |
0,02 |
0,11 |
0,3 |
- |
|
РК-50-24-16 |
0,023 |
0,12 |
0,31 |
|
|
РК-50-24-17 |
0,033 |
0,13 |
0,36 |
|
|
РК-50-33-15 |
0,02 |
0,11 |
|
„ |
|
РК-50-44-15 |
0.016 |
0,11 |
|
. |
|
РК-50-44-16 |
0,017 |
0,08 |
|
|
|
РК-50-44-17 |
0,021 |
0,13 |
- |
- |
Параметры мощных
коаксиальных кабелей со сплошной полиэтиленовой изоляцией и волновым
сопротивлением 75 Ом
- электрическая (погонная) емкость,
пФ/м ...............................67
- коэффициент укорочения
длины волны ................................ 1,52
- электрическое
сопротивление изоляции, ТОм ................... 10
Таблица 6.6. Справочные данные
|
Тип кабеля |
Затухание на частотах,
дБ/м |
|||
|
0.1 ГГц |
1,0 ГГц |
3,0 ГГц |
10,0 ГГц |
|
|
РК-75-13-15 |
0,038 |
0,16 |
0,4 |
|
|
РК-75-13-16 |
0,4 |
0,16 |
0,38 |
- |
|
РК-75-13-17 |
0,035 |
0,16 |
0,38 |
- |
|
РК-75-13-18 |
0,052 |
0,21 |
0,47 |
|
|
РК-75-13-19 |
0,052 |
0,21 |
0,47 |
- |
|
РК-75-17-22 |
0,03 |
0,1 |
0,23 |
- |
|
РК-75-24-15 |
0,026 |
0,11 |
0,3 |
- |
|
РК-75-24-17 |
0,021 |
0,12 |
0,3 |
|
|
РК-75-24-18 |
0,032 |
0,14 |
0,35 |
- |
|
РК-75-24-19 |
0,032 |
0,14 |
0.35 |
|
|
РК-75-33-15 |
0,02 |
0,11 |
0,5 |
|
|
РК-75-33-17 |
0,02 |
0,11 |
0,28 |
|
|
РК-75-44-15 |
0,016 |
0,11 |
- |
|
|
РК-75-44-17 |
0,017 |
0,09 |
0,24 |
|
Параметры коаксиальных
кабелей со сплошной фторлоновой изоляцией и волновым сопротивлением 50 Ом
- электрическая (погонная) емкость,
пф/м ...............................95
- коэффициент укорочения
длины волны ................................ 1,42
- электрическое
сопротивление изоляции, ТОм ...................5
Таблица 6.7. Справочные данные
|
Тип кабеля |
Затухание на частотах,
дБ/м * |
|||
|
0.1 ГГц |
1,0 ГГц |
3,0 ГГц |
10,0 ГГц |
|
|
РК-50-0,6-21 |
0,6 |
2,2 |
3,5 |
9,0* |
|
РК-50-0,6-22 |
0,6 |
2,4 |
4,1 |
9 |
|
РК-50-1-21 |
0,25 |
1,1 |
2,2 |
|
|
РК-50-1-22 |
0,4 |
1,5 |
2,6 |
5 |
|
РК-50-1-23 |
0,3 |
1 |
2 |
3,6 |
|
РК-50-1,5-21 |
0,21 |
0,8 |
1,4 |
„ |
|
РК-50-1,5-22 |
0,21 |
0,7 |
1,4 |
2 |
|
РК-50-2-21 |
0,15 |
0,55 |
0,85 |
2 |
|
РК-50-2-22 |
0,28 |
1 |
1,8 |
• |
|
РК-50-2-23 |
0,12 |
0,6 |
1,2 |
3 |
|
РК-50-2-24 |
0,21 |
0,9 |
2 |
4 |
|
РК-50-2-25 |
0,17 |
0,52 |
1 |
1,9 |
|
РК-50-3-21 |
0,12 |
0,55 |
1,1 |
2,6 |
|
РК-50-3-22 |
0,11 |
0,51 |
1 |
2,3 |
|
РК-50-3-23 |
0,17 |
0,49 |
0,9 |
1,8 |
|
РК-50-3-25 |
0,12 |
0,52 |
1 |
2,4 |
|
РК-50-4-21 |
0,09 |
0,34 |
0,65 |
1,4 |
|
РК-50-4-23 |
0,09 |
0,41 |
0,9 |
2,1 |
|
РК-50-4-24 |
0,1 |
0,41 |
0,8 |
2 |
|
РК-50-7-21 |
0,07 |
0,3 |
0,6 |
1,3 |
|
РК-50-7-22 |
0,06 |
0,3 |
0,58 |
1,3 |
|
РК-50-7-23 |
0,06 |
0,22 |
0,4 |
0,8 |
|
РК-50-7-28 |
0,06 |
0,26 |
0,46 |
1 |
|
РК-50-9-22 |
0,04 |
0,2 |
0,38 |
|
|
РК-50-9-23 |
0,05 |
0,2 |
0,3 |
1 |
|
РК-50-11-21 |
0,056 |
0,22 |
0,4 |
|
Параметры коаксиальных кабелей
со сплошной фторлоновой изоляцией и волновым сопротивлением 75 Ом
- электрическая (погонная) емкость,
пФ/м ...............................63
- коэффициент укорочения
длины волны ................................ 1,42
- электрическое
сопротивление изоляции, ТОм ...................5
Таблица 6.8. Справочные данные
|
Тип кабеля |
Затухание на частотах,
дБ/м |
|||
|
0.1 ГГц |
1,0 ГГц |
3,0 ГГц |
10,0 ГГц |
|
|
РК-75-1-21 |
0,33 |
1 |
2 |
|
|
РК-75-1-22 |
0,42 |
1,4 |
2.4 |
4,3 |
|
РК-75-1,5-21 |
0,2 |
0,7 |
1,5 |
|
|
РК-75-2-21 |
0,15 |
0,65 |
1,3 |
3 |
|
Тип кабеля |
Затухание на частотах,
дБ/м |
|||
|
0.1 ГГц |
1,0 ГГц |
3,0 ГГц |
10,0 ГГц |
|
|
РК-75-2-22 |
0,1 |
0,5 |
1,1 |
- |
|
РК-75-3-21 |
0,1 |
0,48 |
0,9 |
2,1 |
|
РК-75-3-22 |
0,12 |
0,45 |
0,9 |
1,9 |
|
РК-75-4-21 |
0,1 |
0,4 |
0,8 |
2 |
|
РК-75-4-22 |
0,1 |
0,41 |
0,8 |
2 |
|
РК-75-7-21 |
0,07 |
0,3 |
0,53 |
1,1 |
|
РК-75-7-22 |
0,07 |
0,3 |
0,6 |
1,2 |
|
РК-75-9-23 |
0,05 |
0,21 |
0,4 |
0,85 |
|
РК-75-17-22 |
0,03 |
0,1 |
0,23 |
- |
Параметры коаксиальных
кабелей со сплошной фторлоновой изоляцией и волновым сопротивлением 100 Ом
- электрическая (погонная) емкость,
пФ/м ...............................47
- коэффициент укорочения
длины волны................................... 1,42
- электрическое
сопротивление изоляции, ТОм ...................5
Таблица 6.9. Справочные данные
|
Тип кабеля |
Затухание на частотах,
дБ/м |
|||
|
0.1 ГГц |
1,0 ГГц |
3,0 ГГц |
10,0 ГГц |
|
|
РК-100-7-21 |
0,07 |
0,3 |
0,56 |
1,3 |
Параметры коаксиальных
кабелей с воздушно-полиэтиленовой изоляцией и волновым сопротивлением 50 Ом
- электрическая (погонная) емкость,
пФ/м............................... 102
- коэффициент укорочения
длины волны ................................ 1,18-1,24
- электрическое
сопротивление изоляции, ТОм....................... 5
Таблица 6.10. Справочные данные
|
Тип кабеля |
Затухание на частотах,
дБ/м |
|||
|
0.1 ГГц |
1,0 ГГц |
3,0 ГГц |
10.0ГГц |
|
|
РК-50-3-24 |
0,19 |
0,65 |
1,2 |
2,6 |
|
РК-50-4-22 |
0,12 |
0,55 |
1 |
2 |
|
РК-50-7-24 |
0,07 |
0,26 |
0,5 |
0,9 |
|
РК-50-7-25 |
0,06 |
0,26 |
0,46 |
1 |
|
РК-50-7-26 |
0,06 |
0,24 |
0,45 |
1 |
|
РК-50-7-27 |
0,08 |
0,3 |
0,5 |
1 |
|
РК-50-9-21 |
0,05 |
0,17 |
0,37 |
- |
|
РК-50-11-22* |
- |
- |
0,3(2,5) |
|
|
РК-50-13-21 |
0,11 |
0,2 |
0,21 |
- |
Параметры коаксиальных кабелей
с воздушно-полиэтиленовой изоляцией и волновым сопротивлением 75 Ом
- электрическая (погонная) емкость,
пФ/м ...............................52-70
- коэффициент укорочения
длины волны ................................... 1,18-1,24
- электрическое сопротивление
изоляции, ТОм .......................5
Таблица 6.11. Справочные данные
|
Тип кабеля |
Затухание на частотах,
дБ/м |
|||
|
0.1 ГГц |
1,0 ГГц |
3,0 ГГц |
10,0 ГГц |
|
|
РК-75-7-23 |
0,05 |
0,2 |
0,4 |
0,8 |
|
РК-75-7-24 |
0,04 |
0,17 |
0,3 |
0,7 |
|
РК-75-7-61 |
- |
- |
1,6 |
- |
|
РК-75-9-21 |
0,03 |
0,18 |
0,42 |
- |
|
РК-75-9-22 |
0,04 |
0,2 |
0,5 |
- |
|
РК-75-24-21 |
0,025 |
0,088 |
0,16 |
- |
Параметры коаксиальных кабелей
с воздушно-полиэтиленовой изоляцией и волновым сопротивлением 150 Ом
- электрическая (погонная) емкость,
пФ/м ...............................27
- коэффициент укорочения
длины волны ................................... 1,18-1,24
- электрическое сопротивление
изоляции, ТОм ....................... 5
Таблица 6.12. Справочные данные
|
Тип кабеля |
Затухание на частотах,
дБ/м |
|||
|
0.1 ГГц |
1,0 ГГц |
3,0 ГГц |
10,0 ГГц |
|
|
Р К-150-4-21* |
0,1(0,45) |
- |
— |
- |
|
РК-150-7-22 |
- |
0,085 |
- |
- |
Параметры коаксиальных
кабелей с воздушно-фторлоновой изоляцией и волновым сопротивлением 50 Ом
- электрическая (погонная) емкость,
пФ/м ............................... 105
- коэффициент укорочения длины
волны ................................... 1,16-1,40
- электрическое
сопротивление изоляции, ТОм....................... 5
Таблица 6. 13. Справочные данные
|
Тип кабеля |
Затухание на частотах,
дБ/м |
|||
|
0.1 ГГц |
1,0 ГГц |
3,0 ГГц |
10,0 ГГц |
|
|
РК-50-3-24 |
0,19 |
0,65 |
1,2 |
2,6 |
|
РК-50-4-22* |
0,12 |
0,55 |
1 |
3,0(16) |
|
РК-50-7-24 |
0,07 |
0,26 |
0,5 |
0,9 |
|
РК-50-7-25 |
0,06 |
0,26 |
0,46 |
1 |
|
РК-50-7-26 |
0,06 |
0,24 |
0,45 |
1 |
|
РК-50-7-27 |
0,08 |
0,3 |
0,5 |
1 |
|
РК-50-9-21 |
0,05 |
0,17 |
0,37 |
- |
|
РК-50-11-22* |
. |
0,3(2,5) |
- |
- |
|
РК-50-13-21 |
0,11 |
0,2 |
0,21 |
|
Параметры
коаксиальных кабелей с воздушно-фторлоновой изоляцией и волновым сопротивлением
75 Ом
- электрическая (погонная) емкость,
пФ/м ...............................65-70
- коэффициент укорочения
длины волны ................................... 1,16-1,40
- электрическое
сопротивление изоляции, ТОм....................... 5
Таблица 6.14. Справочные данные
|
Тип кабеля |
Затухание на частотах,
дБ/м |
|||
|
0.1 ГГц |
1,0 ГГц |
3,0 ГГц |
10,0 ГГц |
|
|
РК-75-7-23 |
0,05 |
0,2 |
0,4 |
0,8 |
|
РК-75-7-24 |
0,04 |
0,17 |
0,3 |
0,7 |
|
РК-75-7-61 |
- |
- |
1,6 |
- |
|
РК-75-9-21 |
0,03 |
0,18 |
0,42 |
- |
|
РК-75-9-22 |
0,04 |
0,2 |
0,5 |
- |
|
РК-75-24-21 |
0,025 |
0,088 |
0,16 |
- |
Параметры
коаксиальных кабелей с воздушно-фторлоновой изоляцией и волновым сопротивлением
150 Ом
- электрическая (погонная) емкость,
пф/м ..................................27-30
- коэффициент укорочения
длины волны ................................... 1,16-1,40
- электрическое
сопротивление изоляции, ТОм.......................5
Таблица 6.15 Справочные данные
|
Тип кабеля |
Затухание на частотах,
дБ/м |
|||
|
0.1 ГГц |
1,0 ГГц |
3,0 ГГц |
10,0 ГГц |
|
|
РК-150-4-21* |
0,1 (0,45) |
- |
- |
- |
|
РК-150-7-22 |
|
. 0,085 |
2,7 |
- |
Примечание: на кабели, обозначенные «звездочкой»,
дополнительно указывается частота измерения.
Если основным параметром
является затухание, значение которого тесно связано с диаметром внутренней
изоляции, то широкую номенклатуру кабелей можно условно разбить на три
категории [6.5].
Магистральные,
используемые для подачи сигналов от мощной (головной) станции в кабельной сети
до домовых (субмагистральных)
линий:
- допустимое затухание на частоте 200
МГц, дБ/100м 2,5
- допустимое отклонение
волнового сопротивления, Ом ±2
- диаметр внутренней
изоляции, мм 14 - 22 Распределительные, применяемые в линиях домовой
распределительной сети:
- при допустимом затухании на частоте
200 Мгц, дБ/100м 2,5...4
- допустимое отклонение
волнового сопротивления, Ом ±2
- при допустимом затухании
на частоте 200 МГц, дБ/100Ом 4 ... 8
- допустимое отклонение
волнового сопротивления. Ом . ± 2,5
- при допустимом затухание
на частоте 200 МГц, дБ/100Ом 8...13
- допустимое отклонение
волнового сопротивления. Ом ±3
- диаметр внутренней
изоляции, мм 9 ... 13 Абонентские, предназначенные для подключения оконечных
устройств в кабельных или индивидуальных сетях:
- допустимое затухание на частоте 200
МГц, дБ / 100м 13 ... 21
- допустимое отклонение
волнового сопротивления. Ом ± 5
- диаметр внутренней
изоляции, мм менее 9
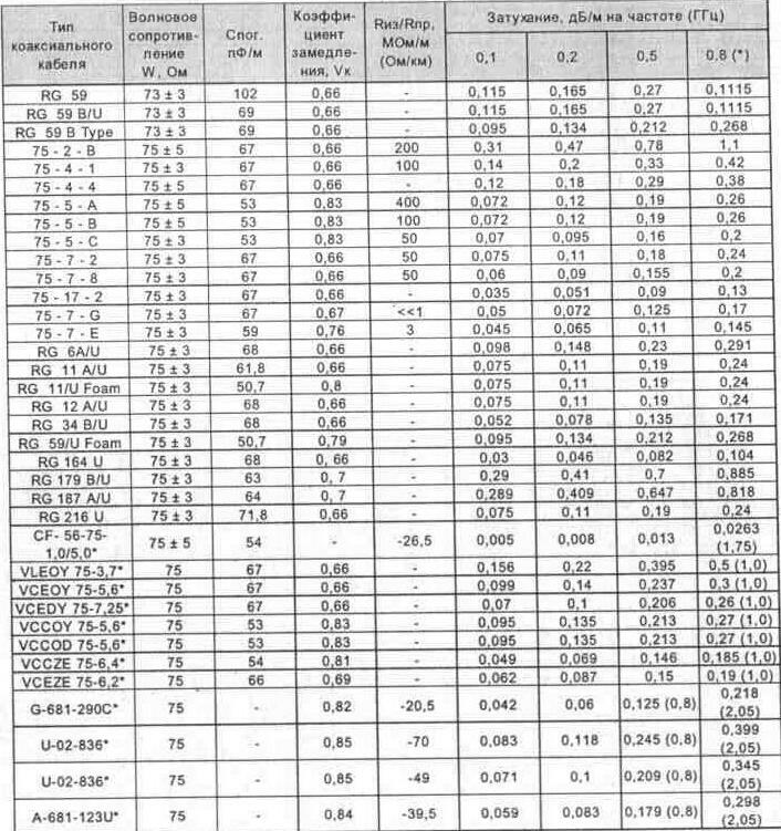
6.2.2. Параметры зарубежных коаксиальных кабелей
Таблица 6.16. Справочные данные
|
Тип коаксиального кабеля
|
Волновое сопротивление W,
Ом |
Спог., ПФ/М |
Коэффициент замедления, Vк
|
Rиз/ Rnp, МОм/м (Ом/км)
|
Затухание, дБ/ м на
частоте (ГГц) |
|||
|
0,1 |
0,2 |
0.5 |
0,8 (*) |
|||||
|
1.5D-2V |
50 |
|
0.67 |
|
2.85 |
4.1 |
6.483 |
10.0(1.01 |
|
3D-2V |
50 |
|
0.67 |
|
1.54 |
2,2 |
3.479 |
5.27(1.0) |
|
5D-2V |
50 |
|
0,67 |
|
0,875 |
0,891 |
2.152 |
3,5(1.2) |
|
8D-2V |
50 |
|
0,67 |
. |
0.599 |
0.611 |
1.456 |
2.6(1.2) |
|
10D-2V |
50 |
. |
0.67 |
. |
0,467 |
0.475 |
1.132 |
2.1 (1.2) |
|
20D-2V |
50 |
|
0,67 |
, |
0.292 |
0.296 |
0.755 |
1.5(1.2) |
|
50-2-1 |
50 ± 4 |
100 |
0.66 |
300 |
0,32 |
0,45 |
0.75 |
0,96 |
|
50-3-1 |
50 +-3 |
100 |
0.66 |
|
0.16 |
0.23 |
0.37 |
048 |
|
50-7-2 |
50 ± 2 |
100 |
0.66 |
. |
0,085 |
0.12 |
0,18 |
026 |
|
50-12-1 |
50+_ 2 |
100 |
0.66 |
|
Q055 |
0.08 |
0.14 |
0.19 |
|
50 К 155* |
50 |
100 |
0,79 |
-15 |
0,09 |
0.13 |
0,21 |
0,445 (1.75) |
|
RG 8 Type |
50 +_ 2 |
76.2 |
0.78 |
|
0059 |
0,08 |
0,13 |
0.164 |
|
RG 58A |
50+_2 |
|
0.78 |
|
0,161 |
0.24 |
0.38 |
0.48 |
|
RG 58C/U |
50 ± 2 |
92.4 |
0,66 |
|
0,16 |
0.24 |
0.39 |
0.493 |
|
RG 58 ALL* |
50 |
82 |
0,78 |
|
0,113 |
0,16 |
0,25 |
0,429 (1.0) |
|
RG 142 B/U |
50+_2 |
95 |
0, 7 |
|
0,14 |
0.2 |
0.35 |
0.443 |
|
RG 174 А |
50 ± 2 |
101 |
0. 66 |
|
0.29 |
0.45 |
0.7 |
0,885 |
|
RG 174A/U |
50 ± 2 |
92 |
0. 66 |
|
0.29 |
0.45 |
0.7 |
0.885 |
|
RG 178 B/U |
50+2 |
95 |
0. 7 |
|
0.43 |
0.62 |
1.02 |
1.29 |
|
RG 188A/U |
50 ± 2 |
95 |
- |
|
0.28 |
0,4 |
0.68 |
0.86 |
|
RG 196 A/U |
50+_2 |
93 |
0.7 |
|
0,43 |
0.62 |
1 02 |
1.29 |
|
RG213 |
50 +_ 2 |
92 |
0,66 |
|
0.072 |
0.102 |
0.161 |
0204 |
|
RG 213 U |
50 ± 2 |
92 |
0.66 |
|
0,07 |
0.1 |
0.17 |
0.215 |
|
RG 214 U |
50+_2 |
101 |
0,66 |
|
0.07 |
0.1 |
0.17 |
0,215 |
|
RG215U |
50+_2 |
101 |
066 |
|
0,07 |
0.1 |
0.17 |
0.215 |
|
RG217U |
50+_2 |
101 |
0.66 |
|
0.045 |
0.07 |
0,123 |
0.156 |
|
RG 218 U |
50+_2 |
101 |
0.66 |
|
0029 |
0.045 |
0.081 |
0.102 |
|
RG 219 U |
50+_2 |
101 |
0.66 |
|
0,029 |
0,045 |
0.081 |
0.102 |
|
RG 220 U |
50+_2 |
101 |
0.6 |
|
0,023 |
0.038 |
007 |
0,089 |
|
RG 223 U |
50+_2 |
101 |
0.66 |
|
0.13 |
0.2 |
0 34 |
0.43 |
|
RG 316 U |
50+_2 |
95 |
. |
|
0,28 |
0,4 |
068 |
0.86 |
|
Belden 9913 |
50 |
. |
0.84 |
|
0043 |
0.061 |
0.096 |
9,121 |
|
Flexi-4XL |
50 |
- |
0,84 |
|
0043 |
0.061 |
0,096 |
0.121 |
|
RLF-7* |
50 |
75 |
- |
-8 |
0.061 |
0.086 |
0.136 |
0.223 (1,0) |
Таблица 6.17. Справочные данные

Таблица 6.18. Справочные данные


Таблица 6.19. Справочные данные

Таблица 6.20. Справочные данные

Таблица 6.21. Справочные данные

Таблица 6.22. Справочные данные

Примечание: на кабели, обозначенные «звездочкой»,
дополнительно указывается частота измерения.
6.2.3. Определение параметров коаксиальных кабелей
Имеется множество способов для
определения параметров неизвестного Вам коаксиального кабеля.
Значение волнового
сопротивления кабеля характеризуется соотношением погонных индуктивности и
емкости. Отсюда следует, что оно зависит от размеров, формы и взаимного
расположения проводников в его поперечном сечении и диэлектрической
проницаемости материала внутренней изоляции, разделяющего проводники.
ОПРЕДЕЛЕНИЕ ВОЛНОВОГО
СОПРОТИВЛЕНИЯ КОАКСИАЛЬНОГО КАБЕЛЯ ПО ИЗВЕСТНЫМ ГЕОМЕТРИЧЕСКИМ РАЗМЕРАМ.
Сначала необходимо измерить
внутренний диаметр D экрана (рис.6.11), сняв защитную оболочку с конца
кабеля и завернув оплетку (внешний диаметр внутренней изоляции). Затем следует
измерить диаметр d центральной жилы, сняв предварительно изоляцию.
Подставив в формулу 6.4 значение диэлектрической проницаемости
материала внутренней изоляции из приложения 9 и результат
предыдущих измерений, находим волновое сопротивление кабеля.

Рис. 6.11. Измерение диаметров внутренней изоляции
неизвестного коаксиального кабеля.
Кроме того, волновое
сопротивление кабеля можно определить по монограмме {рис 6.12).

Рис. 6.12. Номограмма для определения волнового
сопротивления кабеля
Для этого необходимо СОЕДИНИТЬ
прямой линией ТОЧКИ НА ШКАЛЕ «D/d» (отношения внутреннего
диаметра экрана и диаметра внутренней жилы) И НА ШКАЛЕ «Е» (величины
диэлектрической проницаемости внутренней изоляции кабеля]. ТОЧКА ПЕРЕСЕЧЕНИЯ
проведенной прямой СО ШКАЛОЙ «R» номограммы соответствует искомой
величине волнового сопротивления определяемого кабеля.
Неизвестное волновое
сопротивление также может быть найдено и с помощью измерительного моста LC, для
чего:
- прибор подключить к
точкам А-Б (рис.6.13) измеряемого кабеля длиной l;
- измерить емкость между
центральной жилой и оплеткой {внешним проводником) кабеля;
- закоротив точки В-Г,
измерить индуктивность;
- измеренные значения
индуктивности (Гн) и емкости (Ф) подставить в формулу 6.11.

Наконец, волновое
сопротивление кабеля Z в Омах можно подсчитать по результатам измерений емкости
и коэффициента укорочения длины волны в кабеле по формуле 6.22:
Z = 3333 • n / Со, (6.22)
где n - коэффициент укорочения длины волны в кабеле;
Со - емкость кабеля, пф/м.
Волновое сопротивление
кабеля может быть определено и другими методами, если при его определении
погрешность измерения составляет не более ±2%.
ОПРЕДЕЛЕНИЕ ДИЭЛЕКТРИЧЕСКОЙ
ПРОНИЦАЕМОСТИ.
В тех
случаях, когда
диэлектрическая проницаемость внутренней изоляции кабеля неизвестна, ее можно
вычислить, воспользовавшись следующим способом [6.6]:
- измерить емкость отрезка
кабеля (Q-метром, либо с помощью прибора для измерения емкости);
- рассчитать по формуле 6.23
емкость ранее измеренного отрезка кабеля

где С* - расчетная емкость отрезка кабеля,
пФ;
Сим - измеренная емкость отрезка кабеля,
пФ; i l - длина отрезка {не меньше 15-20 см, иначе снижается точность
измерений), (м);
D - диаметр внутренней изоляции.мм;
d - диаметр центрального проводника,мм.
еv = 1 - диэлектрическая проницаемость воздуха;
e* - рассчитанная диэлектрическая проницаемость.
Прибор для измерения
емкости следует подключать к точкам А-Б (рис. 6.13)
ОПРЕДЕЛЕНИЕ
КОЭФФИЦИЕНТА УКОРОЧЕНИЯ ДЛИНЫ ВОЛНЫ. Если нет справочных данных по диэлектрической
проницаемости, то коэффициент укорочения можно вычислить, воспользовавшись
формулой
n = с • Z • Со, (6.25)
где n - коэффициент укорочения длины волны;
Z - волновое сопротивление
кабеля, Ом;
Со - погонная емкость
кабеля, Ф/м;
с = 3* 10^8 м/с - скорость распространения волны.
Формула позволяет
определять коэффициент укорочения не только в коаксиальных кабелях, но и в
других линиях (без потерь или с малыми потерями), если известны их волновые
сопротивления и погонные емкости.
ОДНОРОДНОСТЬ
ВОЛНОВОГО СОПРОТИВЛЕНИЯ по длине кабеля выражается в значениях местных коэффициентов отражения и измеряется
импульсным методом с помощью временных рефлектометров. Также измерения проводят
последовательно с двух концов кабеля.
НЕРАВНОМЕРНОСТЬ
ВОЛНОВОГО СОПРОТИВЛЕНИЯ является мерой изменения в полосе частот нормированного входного
сопротивления кабеля, нагруженного на согласованную нагрузку, и выражается
величиной КСВн или двадцатикратным значением десятичного логарифма
обратного значения модуля входного коэффициента отражения р вх (дБ):
КСВн = 20 Ig1/p вх. (6.26)
Его измеряют с двух концов
кабеля панорамными методами с применением частотных рефлектометров или
измерителей 5-параметров четырехполюсников (Р4-11).
КОЭФФИЦИЕНТ ЗАТУХАНИЯ
(в) измеряют на
частоте, указанной в стандарте или ТУ. Значение в измеряют в дБ/м, за
исключением кабелей со спиральными проводниками, для которых в выражается в
дБ/мкс.
Рекомендуется использовать
панорамные методы измерения коэффициента затухания. На частотах ниже 0,2 ГГц
допускаются методы измерений на резонансной чатоте f*, ближайшей к той,
на которой затухание нормировано. Для определения коэффициента затухания на
других частотах можно воспользоваться формулой
![]()
где в* - известные значения коэффициентов затухания на частоте f*,
дБ/м;
f - частота, для которой
производится пересчет коэффициента затухания р.
Формула действительна для
фидеров с воздушным диэлектриком, а для фидеров с другими диэлектриками -
только до частоты f = 300 МГц.
ЭЛЕКТРИЧЕСКАЯ ЕМКОСТЬ
СИММЕТРИЧНОГО КАБЕЛЯ и ЕМКОСТНАЯ АССИММЕТРИЯ измеряется на частотах 800 Гц или более. Измерения
производят с помощью моста переменного тока или другого прибора, который может
быть применен для измерения емкости на указанных частотах с погрешностью не
более ±1%. Электрическую емкость (С) в пикофарадах на метр и емкостную
ассимметрию (е) в процентах симметричных кабелей с общим для обеих
изолированных жил экраном вычисляют по формулам:
С = [2 (С1+С2) - С12] / 4*l (6.28) е = 400 (С1 - С2) / [2 (С1 + С2) -
С12], (6.29)
где С1 - электрическая емкость между первой и второй
жилой, соединенной с
экраном, пФ;
С2 - электрическая емкость между второй
и первой
жилой, соединенной с
экраном, пФ;
С12 - электрическая емкость между
соединенными вместе
первой и второй жилами и
экраном, пФ;
/ - длина образца, м.
Длина образца должна быть не
менее 1 м и не более числа, величина которого в метрах равна
/ = 20 /f • п, (6.30)
где: f - частота измерения, МГц;
п - коэффициент укорочения длины волны
в кабеле.
6.2.4. Рекомендации по эксплуатации коаксиальных кабелей
При монтаже коаксиальных кабелей
необходимо соблюдать минимальные радиусы изгиба (оговариваются в стандарте или
ТУ на кабели разных марок). Так, для кабеля РК-75-4-11 минимальный радиус
изгиба при t> +5°C - 40 мм, а при t< +5°C - 70 мм. Сгибать кабель под
меньшим радиусом не рекомендуется. Следует также учитывать, что под действием
собственного веса кабель вытягивается. Это необходимо учитывать при прокладке
кабеля (по вертикали) и между строениями. Его следует закреплять к стене
(мачте) или вспомогательному тросу через каждые 1-2 м.
При хранении кабелей с
воздушной и полувоздушной изоляцией их концы должны быть защищены от
проникновения влаги внутрь кабеля, а при эксплуатации необходимо применять
герметичные соединители.
Срастить два отрезка
коаксиального кабеля 1 можно способом, показаным на рис. 6.14,
для чего освобожденные от изоляции части центральных проводников кабелей
необходимо максимально укоротить. Места пайки проводников не должны иметь
значительных утолщений, поэтому центральные (внутренние) проводники
частично спиливают надфилем (одна сторона проводника окажется плоской).
После залуживания оловянно-свинцовым припоем спиленные концы проводников
накладывают друг на друга и запаивают. Чтобы не изменить волновое
сопротивление, необходимо восстановить на месте сращиваемого участка кабеля
внутреннюю изоляцию 3 (предварительно изготавливается из снятой с кабеля
внутренней полиэтиленовой изоляции). Деталь 2 вырезают из жести или

медной фольги толщиной
около 0,1...0,2 мм и устанавливают поверх соединенного участка с восстановленной
изоляцией 3. Пайку оплетки кабелей следует произвести в местах вырезов
детали 2. Для придания прочности соединению деталь 2 по всей
длине целесообразно плотно обмотать изолентой 4.
При пайке центральной жилы
нельзя допускать ее перегрева, т. к. при этом происходит смещение и нарушается
однородность волнового сопротивления.
При монтаже кабелей и
разделке оплеток последние нельзя разрезать: оплетку надо расплести, скрутить в
одну или две косички и залудить. Разделывая кабель, необходимо следить за тем,
чтобы случайно не была подрезана центральная жила и чтобы не замкнуть на нее
проволочную оплетку.
Следует учитывать
эффективность экранирования коаксиальной линии, которая определяется как
отношение энергии, передаваемой внутри коаксиальной линии, к энергии,
просачивающейся во внешнее пространство. Об эффективности экранирования
коаксиального кабеля можно судить по его конструкции: чем выше плотность
внешнего проводника (экрана), тем больше значение этого параметра. Наибольшее
значение эффективности экранирования имеют кабели с дополнительной экранной
оболочкой (рис.б. 15) из фольги (медь, алюминий).

Рис. 6.15. Коаксиальный кабель с дополнительной экранной
оболочкой
Эффективность экранирования
новых, т.е. не бывших в эксплуатации коаксиальных линий, составляет 60-100 дБ.
О погонном затухании в
коаксиальном кабеле типа РК можно судить по его конструкции: чем больше
диаметр внутренней изоляции кабелей (в обозначении марки кабеля он указан в
миллиметрах после цифры 75), тем меньше его погонное затухание.
цена за переход при этом достигает 0,5
доллара.