10.1.
ГРАЖДАНСКАЯ СВЯЗЬ В ДИАПАЗОНЕ 27 МГц, ЧАСТОТНЫЕ РАДИОКАНАЛЫ И РАДИОСТАНЦИИ
С чего следует начать
"цивилизованное" освоение Си-Би? Очевидно, прежде всего ознакомиться
с техническими требованиями к Си-Би радиостанциям и частотными радиоканалами,
выделенными для гражданского диапазона. Перечень характеристик радиостанции
диапазона 27 МГц приведен в таблице 10. 1. В таблице 10. 2 приведены условная
нумерация и номинальные значения частотных каналов радиостанции диапазона 27
МГц, а в таблице 10. 3 публикуются все частотные радиоканалы международного
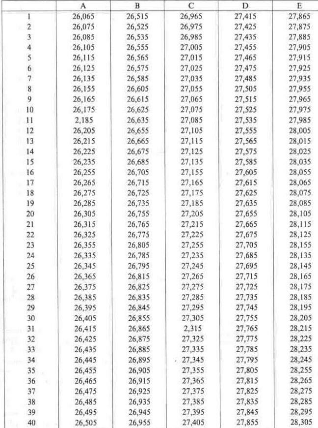
Си-Би стандарта. В настоящее время на территории России разрешен радиообмен в
поддиапазонах С, D. Для удобства читателей их частотные каналы сведены в
таблицу 10. 4.
Каналам, обозначенным
звездочкой, присвоены номера не по порядку, а в национальной нумерации 56, 62,
68, 70. Их среди Си-Би пользователей называют "дырками". Каналы 23,
24 и 25 расположены не на своих порядковых местах, но здесь нет опечатки. Их
частоты растут в соответствии с шагом сетки частот.
Решением ГКРЧ, при участии
"Ассоциации-27", в гражданском диапазоне упорядочено использование
частотных радиоканалов специального назначения. Они предназначены для передачи
экстренных сообщений.
Канал 9 С Международного
стандарта (27, 065 МГц) является каналом бедствия и безопасности. Он служит для
передачи сообщений о пожарах, авариях, несчастных случаях, автомобильных
пробках.
В этом канале, а также в
канале 19 С, в Москве организовано круглосуточное дежурство операторов
"Служба спасения". В канале 3 С круглосуточно функционирует служба
"Крик" (позывной "Петровка"), в канале 9 D (частота 27, 515
МГц) также круглосуточно дежурят операторы службы
Таблица 10. 1
Перечень типовых характеристик радиостанций диапазона 27 МГц
Приложение 1 к решению ГКРЧ России от 29. 08. 94.

Примечания: 1. Условная нумерация и значения
частотных каналов радиостанций приведены в приложении 2 (таблица 10. 2).
2. Допускается разработка
радиостанций с мощностью передатчика менее 10 Вт, а также радиостанций с
классом излучения только АЗЕ, только J3E, только F3E или с несколькими классами
излучений.
3. В режиме J3E может
использоваться верхняя или нижняя боковая полоса частот.
4. В одноканальных
радиостанциях может использоваться любая радиочастота соответствующего
диапазона, кроме номинала частоты 27065 кГц.
5. В многоканальных
радиостанциях типа БЗЕ/СВ обязательно наличие частоты 27065 кГц (канал 9 -
бедствия и безопасности).
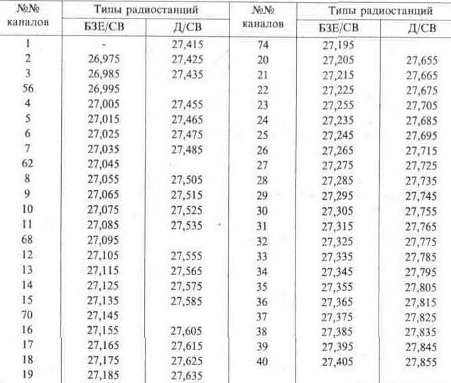
Таблица 10. 2
Условная нумерация и номинальные значения частотных каналов
радиостанции диапазона 27 МГц,
Приложение 2 к решению ГКРЧ России от 29. 08. 94.

Примечания: 1. Частотные каналы с 1 по 40 -
соответствуют международной нумерации, а каналы 56, 62, 68, 70, 74 -
национальной нумерации.
2. Канал 9 (27065 кГц)
станций БЗЕ/СВ является каналом бедствия и безопасности.
3. Канал 19 (27185 кГц)
станций БЗЕ/СВ рекомендуется использовать в качестве информационного канала для
автомобилистов.
"Полет-27". Они
всегда готовы помочь пользователю отыскать в эфире нужного корреспондента, дать
справку, консультацию. В этом канале активисты "Ассоциация-27"
еженедельно обсуждают различные вопросы Си-Би радиосвязи, дают технические
консультации, передаются последние новости в мире Си-Би.
Аналогичные диспетчерские
службы организованы в Зеленограде, Клину, Твери, Можайске, Дубне, Рязани,
Ступино, Коломне, Торжке, С. -Петербурге, Нижнем Новгороде, Саратове, Тольятти,
Краснодаре, Туле и многих других городах России. На конец 1997 г. число
городов, в которых функционировали диспетчерские службы, превышало 50 и число
их растет с каждым днем.
Для информации
корреспондента об условиях приема его сигналов и о качестве самих сигналов во
время телефонной радиосвязи передается комби-
Таблица 10. 3 Частоты каналов международного стандарта ( в МГц)

нация из трех символов
(RSM), оценивающая разбираемость сигнала (R - англ. readability) по пятибальной
шкале, силу сигналов (S - англ. strength) по девятибальной шкале и качество
модуляции ( М - англ. modulation) по пятибальной шкале.
Таблица 10. 4 Условная нумерация каналов и их частоты по Российскому
стандарту (в МГц)

Шкала R.
1 - Неразборчиво, прием
невозможен; 2 - Едва разборчивы отдельные слова, прием практически невозможен;
3 - Разборчиво с большим трудом (30 -50 %); 4 - Достаточно разборчиво (50 - 80
%); 5 - Совершенно разборчиво ( 100 %).
Шкала S.
1 - Едва слышно, прием
невозможен; 2 - Очень слабые сигналы, прием практически невозможен; 3 - Очень
слабые сигналы, прием с большим напряжением; 4 - Слабые сигналы, прием с
небольшим напряжением; 5 -Удовлетворительные сигналы, прием почти без
напряжения; 6 - Хорошие сигналы, прием без напряжения; 7 - Умеренно громкие
сигналы; 8 - Громкие сигналы; 9 - Очень громкие сигналы.
Шкала М.
1 - Очень большие
искажения, прием невозможен; 2 - Большие искажения, прием с большим трудом; 3 -
Заметные искажения; 4 - Небольшие искажения;
5 - Искажения отсутствуют В
большинстве случаев пользователи Си-Би аппаратуры, как правило, дают цифровую
оценку только по шкале S, остальное словами.
В большинстве случаев пользователи
Си-Би аппаратуры, как правило, дают цифровую оценку только по шкале S,
остальное - словами.