1.2.
СТАНДАРТЫ И СИСТЕМЫ ТЕЛЕВИДЕНИЯ
Система преобразования
изображения и звукового сопровождения телевизионной передачи в электрический
сигнал на передающей стороне и обратного преобразования на приемной
устанавливается телевизионным стандартом. Разные страны мира используют разные
стандарты, сложившиеся исторически, которые различаются числом строк в полном
кадре, частотой полей, разносом между несущими частотами сигналов изображения и
звукового сопровождения, видом модуляции несущей сигналом звукового
сопровождения и другими параметрами.
В большинстве стран мира их
стандартами предусмотрено разложение изображения на 625 строк и 50 полей при
чересстрочной развертке. В странах же Америки, Японии и некоторых других
частота полей составляет 60 Гц, а число строк в полном кадре - 525. У нас и в
странах Восточной Европы разнос между несущими частотами изображения и
звукового сопровождения принят равным 6, 5 МГц, а в большинстве других стран
мира - 5, 5 МГц. Кое-где используется амплитудная модуляция несущей частоты
сигналом звука вместо общепринятой частотной модуляции. Имеются и другие
различия. Каждому телевизионному стандарту присвоена определенная буква
латинского алфавита, которая позволяет определить все его характеристики.
Помимо разных телевизионных
стандартов существуют три разные системы цветного телевидения - СЕКАМ, ПАЛ и НТСЦ,
каждая из которых характеризуется определенным способом формирования сигнала,
содержащего информацию о цвете элементов изображения.
Различия в стандартах
мешают использовать телевизор, рассчитанный на один стандарт, для приема
передачи по другому. Такие рассогласования обычно происходят при использовании
импортных телевизоров, когда из-за разницы в стандартах оказывается невозможно
принять звуковое сопровождение телевизионных передач или при цветной передаче
изображение на экране телевизора оказывается черно-белым. В таких случаях
неизбежна переделка телевизора, порой достаточно сложная. Поэтому в последние
годы многие зарубежные производители стали выпускать телевизоры, оснащенные
микропроцессором, который автоматически способен распознать стандарт принятого
телевизионного сигнала и систему цветного телевидения, использованную в этом
сигнале. Процессор производит необходимые переключения в схеме телевизора,
которые обеспечивают нормальный прием изображения и звука, освобождая
владельцев такого телевизора от забот.
Для многопрограммного
телевизионного вещания сигналы одной программы отличаются от сигналов другой,
чтобы на приемной стороне можно было бы выбрать нужную программу. Это
обеспечивается, как и в радиовещании, тем, что разные программы передаются на
разных частотах. Для телевидения выделены три диапазона частот в области
метровых волн и два диапазона в области дециметровых. Для каждой программы
выделяется один канал шириной 8 МГц, а каждому каналу присваивается постоянный
порядковый номер. Первый и
второй частотные каналы относятся к диапазону I, с третьего по пятый - к
диапазону II, с шестого по двенадцатый - к диапазону III, с 21-го по 39-й - к
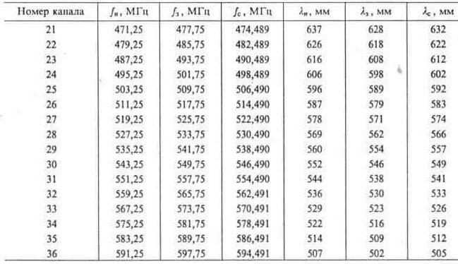
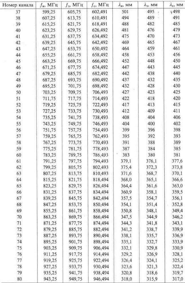
диапазону IV, а с 40-го по 80-й - к диапазону V. В табл. 1. 1 и 1. 2 приведены
основные параметры телевизионных частотных каналов в области метровых и
дециметровых волн: /и -несущая частота канала изображения; fэ-несущая частота
канала звука; fс -средняя несущая частота; lи - длина волны канала
изображения; lз - длина волны канала звука; -1с - средняя длина волны. При
изготовлении телевизионной антенны нужно знать номер частотного канала, по
которому идет передача, но не путать его с номером программы.
Таблица 1.1 Основные параметры частотных каналов метровых
воля

Таблица 1. 2 Основные параметры каналов дециметровых волн

Окончание табл. 1. 2
