Тема 23. ЦЕПИ С РАСПРЕДЕЛЕННЫМИ ПАРАМЕТРАМИ
В УСТАНОВИВШЕМСЯ РЕЖИМЕ
(задачи с решением)
Перейти к задачам без решения
|
Задача 23.1. Определить волновое сопротивление, коэффициент распространения, длину волны и фазовую скорость в линии, обладающей параметрами R = 20 Ом/км, L = 0,25 мГн /км, C = 44,5 нФ/км, G = 3 мкСм/км, при частотах f = 20 и 200 кГц. Сравнить результаты с величинами, полученными при пренебрежении потерями в линии (R = 0, G = 0). |
На частоте f = 20 кГц круговая частота ω = 2πf = 12,566·104 1/с. Для волнового сопротивления имеем
Ом.
Коэффициент распространения определяется как
1/км,
длина волны
км и фазовая скорость
км/с. При пренебрежении потерями
Ом, g = jb = jwЦLC = j·0,4191
1/км, а длина волны
км и фазовая скорость
км/с.
При 200 кГц ω = 2πf = 12,566·105 1/с, и
.
1/км, длина волны
км и фазовая скорость
км/с. При пренебрежении потерями в этом случае получим
Z = 74,953 Ом, γ = jβ = j4,1914 1/км, λ = 1,5 км,
км/с.
Очевидно, что на этой частоте влияние потерь на параметры линии несущественно.
При работе в режиме изучения теоретического материала вернитесь назад к тексту Лекции 25.
|
Задача 23.2. Для линии длиной l = 187,5 м, параметры которой были определены в предыдущей задаче, определить напряжение и ток в конце линии при холостом ходе, коротком замыкании и согласованной нагрузке, пренебрегая потерями. На входе линии действует источник напряжения U1 = 10 В частотой f = 200 кГц. |
В линии без потерь напряжения и токи в начале и в конце линии без потерь связаны соотношениями (см. п. 25.1)
![]()
Поскольку волновая длина линии равна
l/ λ = 187,5/1500 = 0,125, то βl= π/4, cos βl = sin βl =
, и последние соотношения принимают простую форму
![]()
Поэтому в режиме холостого хода
Таким образом,
U2хх = 14,1 В.
При коротком замыкании, наоборот,
и I2кз = 14,1/75 = 0,188 А.
При согласованной нагрузке
![]()
Отсюда следует U1 = U2 = 10 В — для линии без потерь при согласованной нагрузке действующие напряжение и ток неизменны по всей линии, I2 = U2/Z = 0,133 А.
При работе в режиме изучения теоретического материала вернитесь назад к тексту Лекции 25.
|
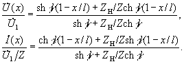
Задача 23.3. Для линии длиной l =1,2 λ, у которой в режиме согласованной нагрузки отношение напряжений на выходе и входе равно U2/U1= 0,8, определить распределение напряжения тока вдоль линии при холостом ходе, коротком замыкании и нагрузке на сопротивление, относительная величина которого равна Zн/Z = 0,5; 2. |
Распределение напряжения и тока вдоль линии выражается через напряжения и токи в начале и конце линии U1 и I1, U2 и I2 соотношениями
![]()
Учитывая связь
, их можно привести к виду

По исходным данным определим коэффициент распространения линии. Поскольку при согласованной нагрузке U2/U1= е-αl, то αl = - ln(U2/U1) = 0,2231. По заданной волновой длине линии l=1,2 λ определим произведение βl = 1,2βλ = 1,2·2π = 7,54. Таким образом γ = αl + jβl = 0,223 + j7,54.
Для удобства расчетов и большей наглядности результатов приведем формулы для распределения тока и напряжения к безразмерной форме

Результаты расчета по последним формулам показаны на рис. П23.1, а (короткое замыкание и нагрузка на Zн/Z = 0,5) и рис. П23.1, б (холостой ход и нагрузка на Zн/Z = 2).

Pис. П23.1, а

Pис. П23.1, б
Для того, чтобы с достаточной точностью обеспечить выполнение условия I2 = 0 при холостом ходе, следует задать отношение Zн/Z достаточно большим. Анализ показывает, что при этом по порядку величина тока I2 не превышает величины, обратной к Zн/Z.
При работе в режиме изучения теоретического материала вернитесь назад к тексту Лекции 25.