Тема 13. РАСЧЕТ ПЕРЕХОДНОГО ПРОЦЕССА В ЦЕПИ ПЕРВОГО ПOРЯДКА (задачи с решением)
Перейти к задачам без решения
|
Задача 13.1. Рассчитать переходный процесс в цепи рис. П13.1, а, находящейся под действием постоянной ЭДС E0 (см. п. 15.4 теоретического материала). а) Рис. П13.1 |
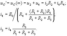
Определим сначала начальное значение переменной состояния — напряжения на конденсаторе uC(0), рассматривая состояние цепи до коммутации — при разомкнутом ключе. В этом режиме ток
протекал лишь по последовательно включенным резисторам R1, R2, R4, а напряжение на конденсаторе определялось суммой падений напряжения на R2 и R4. Соответственно, выражение для uC(0) имеет вид
![]()
После окончания переходного процесса, связанного с замыканием ключа, токораспределение в цепи имеет более сложный характер: резистор R3, включаемый в цепь, образует параллельную ветвь по отношению к R1 и R2, а резистор R4 включен последовательно с остальной цепью. Из этих условий найдем u'C = uC(Ґ):

Для определения постоянной времени в схеме после коммутации закорачиваем источник ЭДС и находим входное сопротивление резистивной части по отношению к зажимам конденсатора. В полученной таким образом цепи (рис. П13.1, б) резисторы R3 и R4 оказываются параллельными друг другу, R2 включен с ними последовательно, а R1 параллелен общему сопротивлению R234. В результате получим:
![]()
Для напряжения uC(t) в рассматриваемой цепи окончательно будем иметь
![]()
Принимая сопротивления всех резистивных элементов цепи одинаковыми R1 = R2 = R3 = R4 = R, найдем uC(Ґ) = 4E0/5, uC(0) = 2E0/3, τ = 3RC/5, что дает в итоге
![]()
|
Задача 13.2. Рассчитать переходный процесс в индуктивной цепи (рис. П13.2), находящейся под действием синусоидального напряжения с амплитудой Um0 = 100 В и угловой частотой w. Параметры R1 = R2 = R3 = 10 Ом; wL = 5 Ом.
Рис. П13.2 |
Установившееся значение переменной состояния — тока в индуктивности iL' = ImL sin (wt + yL) — найдем, используя комплексный метод.
Для этого определим комплексную передаточную проводимость цепи в режиме после коммутации YL0(jw) =
, где
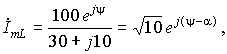
— комплексная амплитуда входного напряжения u(t) = Um0 sin (wt + y), y — его начальная фаза. Для комплексной амплитуды напряжения на индуктивности имеем
, поэтому ток в параллельно включенной ветви
. Значение тока во входной ветви равно
, а падение напряжения на резисторе R1 во входной ветви
. Используя второй закон Кирхгофа, выразим входное напряжение
![]()
Это позволяет выразить искомую передаточную проводимость YL0 как

поэтому комплексная амплитуда тока в индуктивности равна
![]()
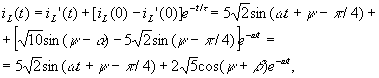
Подставляя численные значения, получим

Перейдем к мгновенному значению тока
![]()
Начальное значение тока в индуктивности iL (0) определяем в результате анализа цепи до коммутации, когда она включала в себя резистор R3. Передаточную проводимость в этом режиме найдем аналогично:
,
;
.
Поэтому искомая передаточная проводимость равна

Для комплексной амплитуды тока
в режиме до коммутации получим после подстановки численных значений

где a = arctg 1/3 » 18°.
Мгновенное значение тока в режиме перед коммутацией iL = Ц10 sin (wt + y – a), а его значение в момент замыкания ключа (при t = 0) iL(0) = Ц10 sin (y – a).
Определим далее постоянную времени цепи t. При удалении источника (закорачивании входных зажимов цепи) эквивалентное сопротивление относительно зажимов индуктивности равно Rн = R1R2/(R1 + R2) = 5 Ом; параметр, включающий постоянную времени wt = wL/ Rн = 1, поэтому t = 1/w.
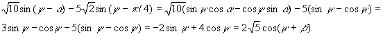
Окончательно запишем выражение для тока iL в виде

где b = arctg 1/2 » 26,5°. В последнем выражении учтено, что множитель при апериодической составляющей преобразуется следующим образом:

Если напряжение источника в момент замыкания ключа переходит через нуль — его начальная фаза равна нулю (y = 0), то выражение для множителя, входящего в апериодическую составляющую, упрощается и становится равным
. В этом случае общее выражение для тока принимает вид
![]()
Значение апериодической составляющей максимально и равно
» 4,48 при cos(y + b) = 1, или
y = – b » – 26,5°, когда для тока переходного процесса имеем:
![]()
При y + b =π/2, или y = 63,5°, апериодическая составляющая, наоборот, отсутствует, и в цепи немедленно после коммутации устанавливается синусоидальный режим.
При работе в режиме изучения теоретического материала вернитесь назад к тексту Лекции 15.