Тема 3. КОНТУРНЫЕ УРАВНЕНИЯ (задачи с решением)
Перейти к задачам без решения
|
Задача 3.1. На основе решения контурных уравнений (см. п. 4.1), рассчитать распределение токов в цепи, рассмотренной в задаче 2.1 (рис. П2.1). |
Используем сначала способ решения, основанный на преобразовании источника тока J5 с параллельным резистором R5 в эквивалентный источник ЭДС e5 = J5 R5 с последовательным включением того же резистора (см. п. 4.3). Для полученной планарной схемы в качестве независимых контуров проще всего выбрать элементарные ячейки (рис. П3.1) с циркулирующими в них контурными токами i1к, i2к, i3к, i4к.

Рис. П3.1
Система контурных уравнений имеет общий вид:

Собственные сопротивления контуров — диагональные элементы матрицы контурных сопротивлений с одинаковыми индексами Rkk — определяются как сумма сопротивлений, входящих в k-й контур:

Общие сопротивления контуров — элементы матрицы контурных сопротивлений с различными индексами Rkn — находятся как сумма всех сопротивлений, входящих в контуры k и n. Эта сумма имеет знак “плюс”, если оба контурных тока в общих ветвях направлены одинаково, и знак “минус” — при их противоположных направлениях. В результате получим

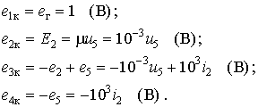
При записи правых частей системы — контурных ЭДС ekк — будем считать сначала все источники независимыми. Контурные ЭДС представляют алгебраическую сумму ЭДС всех источников, входящих в k-й контур. При этом положительными будут ЭДС, ориентированные так же, как и контурный ток:

В результате система контурных уравнений примет вид:

Выразим управляющие ток i2 и напряжение u5 через контурные токи, представляя токи в ветвях как алгебраическую сумму контурных токов, протекающих по этим ветвям:
i2 = i2к - i3к; iн = i4к; i4 = i1к - i4к.
Составив уравнения Кирхгофа для контура, состоящего из ветвей с индексами “5”, “4”, “н”
![]()
находим для u5
![]()
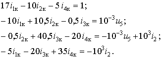
Подставив соотношения для i2 и u5 в систему контурных уравнений и сгруппировав члены, окончательно получим:

Решение системы дает следующие значения контурных токов: i1к = 8,6× 10–2 (мА); i2к = 8,56× 10–2 (мА); i3к = 8,08× 10–2 (мА); i4к = – 7,88× 10–2 (мА). Далее по указанному выше правилу определяем входной и нагрузочный токи:

результат для которых совпадает с полученным при анализе методом узловых напряжений (Задача 2.1).
Другой метод составления контурных уравнений состоит в выделении ветвей, включающих источники тока в обособленные контуры, в которых циркулирует только один контурный ток. Для таких контуров уравнения не составляются, так как соответствующий контурный ток равен току источника.
Применительно к рассматриваемой задаче (рис. П3.1) наряду с введенными выше контурами 1,2,3 и 4 введем дополнительно контур 5, замыкающийся через источник тока J5 и резистор R5, направление обхода которого совпадает с направлением тока источника. В результате приходим к системе четырех контурных уравнений, включающем пять контурных токов:

Общие сопротивления пятого контура с остальными равны:
,
а остальные члены системы совпадают с записанными выше, поскольку выбор контуров 1, 2, 3 и 4 сохранился.
Используя представление тока источника
J5 = i5к =
При работе в режиме изучения теоретического материала вернитесь назад к тексту Лекции 4.