Тема 1. УРАВНЕНИЯ КИРХГОФА (задачи с решением)
Перейти к задачам без решения
|
Задача 1.1. Составить уравнения Кирхгофа для мостовой цепи, направленный граф которой изображен на рис. П1.1, а.
|

Рис. П1.1
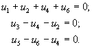
Используем сначала способ записи независимых уравнений по первому закону Кирхгофа, при котором уравнения баланса токов составляют для всех узлов цепи, кроме одного, а по второму — уравнения баланса напряжений — для элементарных ячеек, которые можно выделить в планарной цепи (см. п. 2.1). Составим эти уравнения для узлов 1, 2, 3, и для элементарных ячеек ?, ‚ и ƒ:

Более общий способ основан на использовании главных сечений, для которых составляются уравнения первого закона и главных контуров для записи уравнений второго закона. Покажем его применение для той же цепи при выборе дерева, составленного из ветвей 2,4, 6 (на рис. П1.1, б эти ветви показаны жирными линиями). Первое главное сечение s1 включает ветвь дерева 2 и связи 1 и 3. Стрелкой на рис. П1.1, б указана его положительная ориентация, совпадающая с направлением ветви дерева 2. Второе главное сечение s2 состоит из ветви 4 дерева и связей 1, 3 и 5. Его ориентация также задана направлением ветви 4. Последнее главное сечение s3 включает ветви 6, 1 и 5. Запишем уравнения первого закона для главных сечений:

В записи уравнений второго закона используем главные контуры, состоящие из ветвей 1, 2, 4; 3, 4, 2 и 5, 6, 4, соответствующие выбранному дереву. Направления обхода главных контуров, показанные стрелками на рис. П1.1, б, отвечают направлениям ветвей-связей 1, 3 и 5.
![]()

Сопоставление обоих вариантов записи показывает, что некоторые уравнения в них совпадают, но тождественными они не являются.
При работе в режиме изучения теоретического материала вернитесь назад к тексту Лекции 2.
|
Задача 1.2. Составить систему уравнений Кирхгофа для цепи, изображенной на рис. П1.2, а, включающей вырожденные ветви с идеальным источником ЭДС e1 и идеальным источником тока J6.
Рис. П1.2 |
Будем рассматривать оба названных источника как обособленные, а остальные источники ЭДС и тока, действующие в цепи, включим в состав соответствующих составных ветвей вместе с резисторами, имеющими те же индексы. Это приводит к графу цепи, содержащему шесть ветвей (рис. П1.2, б). Стрелками указаны выбранные направления отсчета токов и напряжений ветвей. Заметим, что при рассмотрении всех элементов цепи как ветвей их число возрастает до 11.
Выбирая в качестве дерева цепи ветви с номерами 1, 2 и 3, выделенные на рис. П1.2, б, запишем уравнения:
первого закона для главных сечений дерева
i1 = i4 + i5; i2 = i4 + J6; i2 = - J6 + i5;
второго закона для главных контуров
![]()
Компонентные уравнения для составных ветвей 2, 3, 4 и резистивной ветви 5 имеют вид (см. п. 2.3)

где e3' — эквивалентная ЭДС составной ветви 3.
Полученная система содержит десять неизвестных величин: токи i1 – i5 и напряжения u2 – u6. Отметим, что ток i1 идеального источника ЭДС и напряжение u6 источника тока, подчеркнутые чертой в системе, входят обособленно каждый лишь в одно из уравнений системы. Это позволяет не включать их в число совместно решаемых уравнений, а воспользоваться для определения выражаемых ими величин после решения остающейся системы четырех уравнений Кирхгофа и четырех компонентных уравнений. Такая система относительно токов и напряжений однозначно выражает токи и напряжения ветвей 2 – 5.
При работе в режиме изучения теоретического материала вернитесь назад к тексту Лекции 2.
|
Задача 1.3. Записать систему уравнений рассмотренной в предыдущей задаче цепи с вырожденными ветвями (рис. П1.2, а) в матричной форме (см. п. 2.4). |
Сгруппируем компоненты вектора токов ветвей следующим образом:

Аналогично группируются и компоненты вектора напряжений ветвей u.
Матрицы главных сечений и главных контуров при использованном в предыдущей задаче выборе дерева, изображенном на рис. П1.2, б, имеют вид:

и структурные уравнения записываются в форме:
![]()
Источники ЭДС и токов, включенные в составные ветви, учитываются в компонентных уравнениях, которые для резистивных ветвей 2, 3, 4 и 5 записаны в виде:
.
Для вырожденных ветвей, соответствующих идеальным источникам, имеем:
;
.
При работе в режиме изучения теоретического материала вернитесь назад к тексту Лекции 2.