Приложение 3 К списку приложений

Приложение 3

Вычисление матричной экспоненты

Матричную экспоненту eAt, где А — квадратная матрица порядка n, можно вычислить из степенного разложения

,

откуда следует, что и eAt представляет собой квадратную матрицу порядка n.

Численное определение элементов eAt осуществляется с помощью следующей процедуры: 1) с помощью приведенного отрезка ряда Тейлора находят достаточно точное значение j0 = eAh для малого h; 2) последовательно находят величины jk+1 = jk2 (k = 0, 1, 2, …, n), определяющие при H = 2h, 4h, 16h, …

Аналитические выражения элементов матрицы eAt можно получить с помощью формулы Сильвестра

,

где λ —корни характеристического уравнения — собственные числа матрицы А.

Для n = 2, когда

,

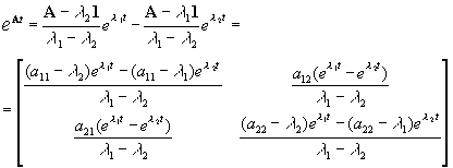
элементы матрицы eAt  выражаются следующим образом:

,

где λ1,2 — корни характеристического уравнения

.

Для комплексно сопряженной пары корней λ1,2 = – δ ± приведенное выражение преобразуется к виду

.


Обратно к списку приложений